Open Access

Fig. 7.

image

Download original image

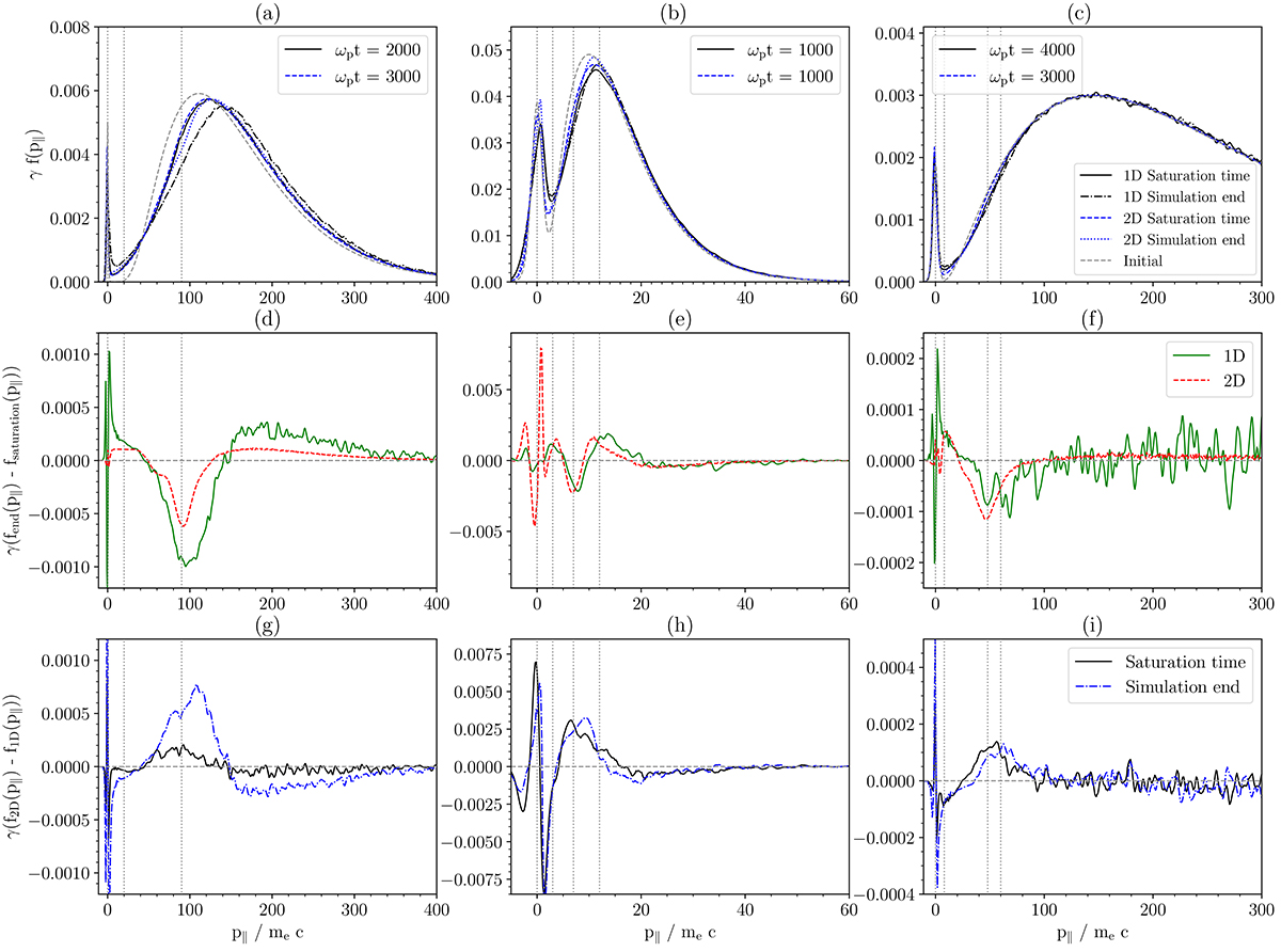
Comparison of particle distributions as functions of the particle momenta. All electrons and positrons are used from the simulations. The distributions for 1D and 2D simulations at the simulation start, instability saturation, and the simulation end (top row). Comparison of the distribution difference between the simulation end and saturation time for 1D and 2D simulations (middle row). Comparison of the distribution difference between 1D and 2D simulations for the saturation time and simulation end (bottom row). The vertical dotted gray lines show selected positions of momenta where the distributions change significantly. The dashed gray lines show the initial distributions (top row) and a zero distribution difference (middle and bottom rows). (a) S1–1D + S1–2D. (b) S2–1D + S2–2D. (c) S3–1D + S3–2D.

Current usage metrics show cumulative count of Article Views (full-text article views including HTML views, PDF and ePub downloads, according to the available data) and Abstracts Views on Vision4Press platform.

Data correspond to usage on the plateform after 2015. The current usage metrics is available 48-96 hours after online publication and is updated daily on week days.

Initial download of the metrics may take a while.