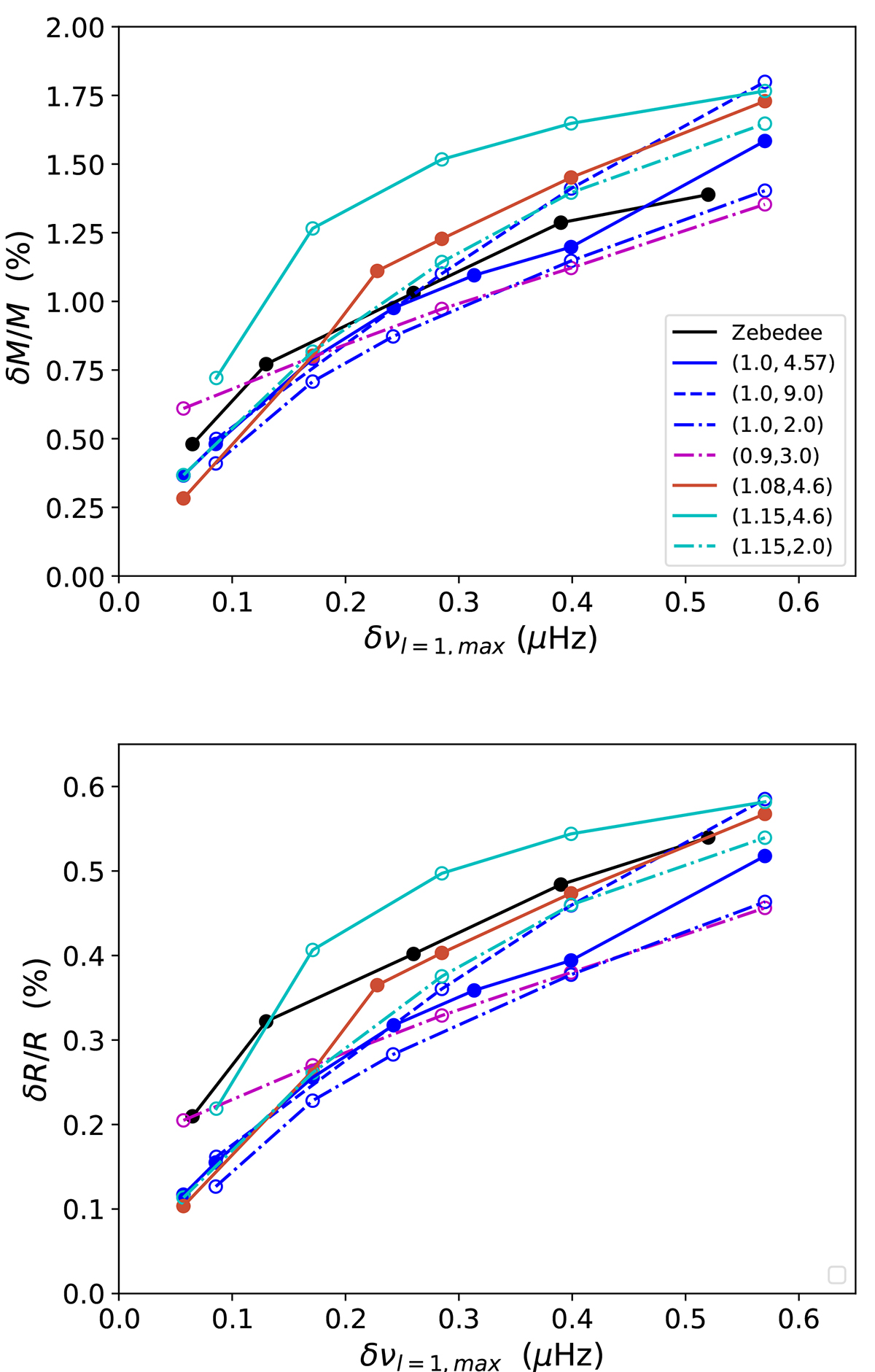
Fig. C.2.

Download original image
Relative uncertainties for the masses (top) and radii (bottom) with increasing frequency uncertainties for all synthetic stars as a function of δνℓ = 1, max. The color code is given in the panels as (M/M⊙, age (Gyr)). The solid blue corresponds to a Sun. The solid curve with black dots represents a case similar to Zebedee (1.0165 M⊙, 3.085 Gyr) in Cunha et al. (2021).
Current usage metrics show cumulative count of Article Views (full-text article views including HTML views, PDF and ePub downloads, according to the available data) and Abstracts Views on Vision4Press platform.
Data correspond to usage on the plateform after 2015. The current usage metrics is available 48-96 hours after online publication and is updated daily on week days.
Initial download of the metrics may take a while.