Fig. 11.

Download original image
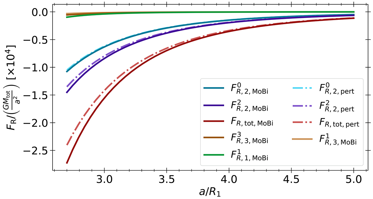
Decomposition of the perturbed acceleration for the IM-Per system with the perturbative and non-perturbative models as a function of the system orbital separation normalised by the stellar radii. Each colour represents one spherical order: the lighter curves correspond to the perturbative model while the darker curves correspond to the with non-perturbative approach. The red curves are the total of all the spherical orders.
Current usage metrics show cumulative count of Article Views (full-text article views including HTML views, PDF and ePub downloads, according to the available data) and Abstracts Views on Vision4Press platform.
Data correspond to usage on the plateform after 2015. The current usage metrics is available 48-96 hours after online publication and is updated daily on week days.
Initial download of the metrics may take a while.