Fig. 12.

Download original image
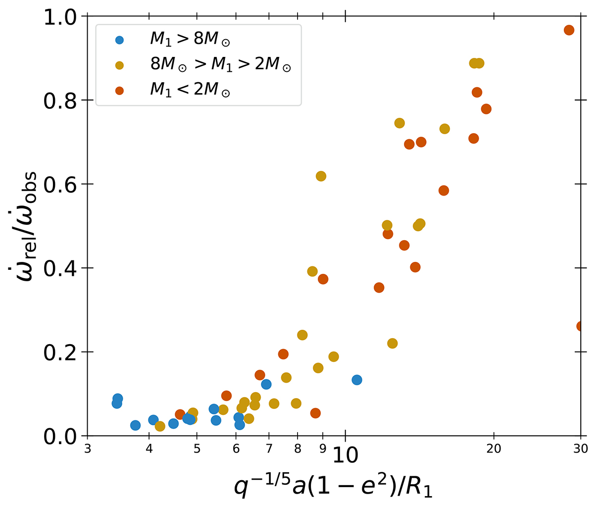
Repartition of observed binary systems from our catalogue affected by our methodology. Each point correspond to an observed system with a given orbital separation and a relativistic contribution to the apsidal motion. The blue dots correspond to massive binaries, the yellow points are intermediate mass binary stars, and the red dots are low-mass stars. For this diagram, the primary was chosen as the most massive star in the system.
Current usage metrics show cumulative count of Article Views (full-text article views including HTML views, PDF and ePub downloads, according to the available data) and Abstracts Views on Vision4Press platform.
Data correspond to usage on the plateform after 2015. The current usage metrics is available 48-96 hours after online publication and is updated daily on week days.
Initial download of the metrics may take a while.