Fig. 4.

Download original image
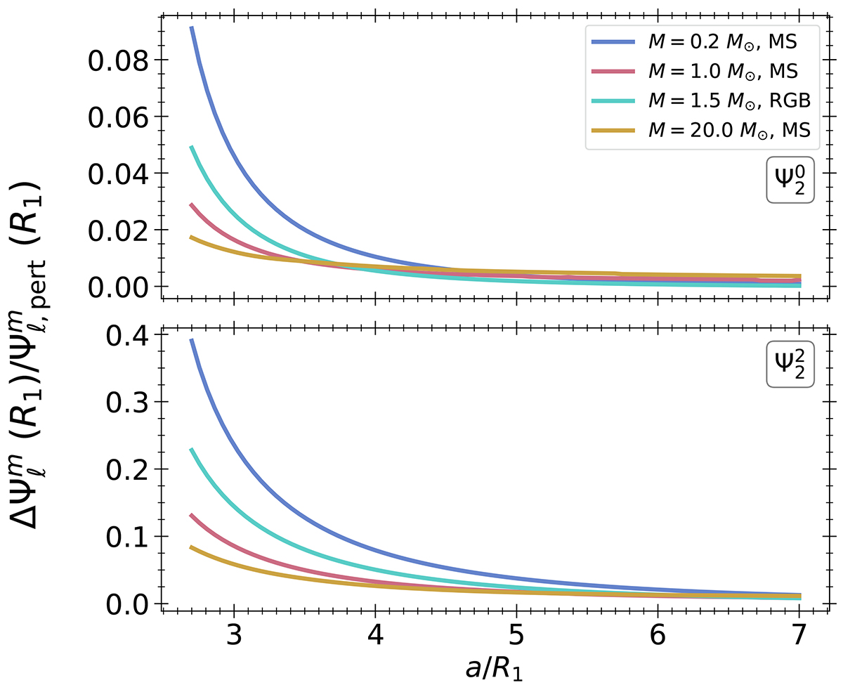
Surface potential discrepancy between perturbative and non-perturbative modelling approaches as a function of the orbital separation normalised by the stellar radii for the different binary components presented in Table 1. The upper panel corresponds to the ℓ = 2, m = 0 component of the potential while the lower panel is the ℓ = 2, m = 2 term.
Current usage metrics show cumulative count of Article Views (full-text article views including HTML views, PDF and ePub downloads, according to the available data) and Abstracts Views on Vision4Press platform.
Data correspond to usage on the plateform after 2015. The current usage metrics is available 48-96 hours after online publication and is updated daily on week days.
Initial download of the metrics may take a while.