Open Access
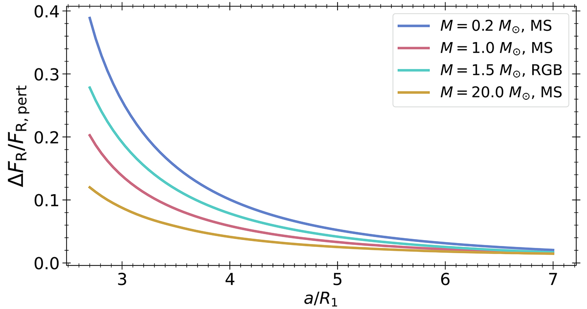
Fig. 5.

Download original image
Perturbed acceleration discrepancy as a function of the separation normalised by the stellar radii for the twin binary systems composed of the stars presented in Table 1. The colour code denotes the different twin binary systems.
Current usage metrics show cumulative count of Article Views (full-text article views including HTML views, PDF and ePub downloads, according to the available data) and Abstracts Views on Vision4Press platform.
Data correspond to usage on the plateform after 2015. The current usage metrics is available 48-96 hours after online publication and is updated daily on week days.
Initial download of the metrics may take a while.