Fig. 7.

Download original image
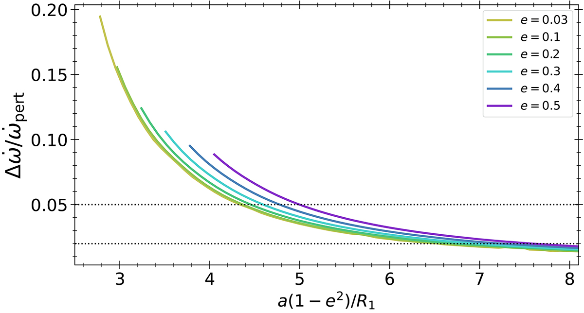
Apsidal motion relative different for a twin binary system composed of two 20 M⊙ stars presented in Table 1. Each colour correspond to the variation of discrepancy as a function of the orbital separation scaled by the eccentricity and stellar radii for different values of the orbital eccentricity. The black lines are lines of constant model relative difference, corresponding to 5% and 2% discrepancy.
Current usage metrics show cumulative count of Article Views (full-text article views including HTML views, PDF and ePub downloads, according to the available data) and Abstracts Views on Vision4Press platform.
Data correspond to usage on the plateform after 2015. The current usage metrics is available 48-96 hours after online publication and is updated daily on week days.
Initial download of the metrics may take a while.