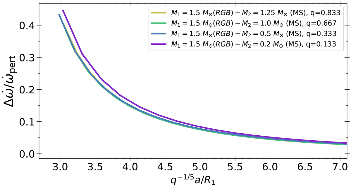
Fig. 9.

Download original image
Apsidal motion discrepancy as a function of the orbital separation scaled with the q parameter. Each system is composed of a primary 1.5 M⊙ RGB star presented in Table 1, and a secondary star with a lower mass. The stars composing the systems have the same age (2 Byr) and initial chemical composition (X0 = 0.72, Z0 = 0.010). Each colour corresponds to a secondary with a different mass.
Current usage metrics show cumulative count of Article Views (full-text article views including HTML views, PDF and ePub downloads, according to the available data) and Abstracts Views on Vision4Press platform.
Data correspond to usage on the plateform after 2015. The current usage metrics is available 48-96 hours after online publication and is updated daily on week days.
Initial download of the metrics may take a while.