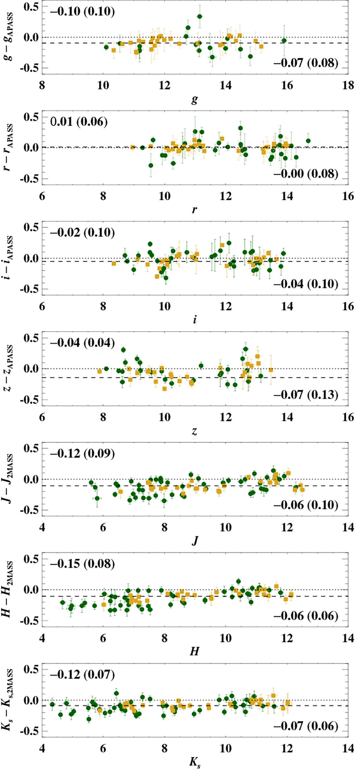
Fig. 3.

Download original image
Comparison of the calibrated mean magnitudes of Cepheids in this work with the magnitudes from APASS DR10 (in griz) and 2MASS (in JHKs). The dashed and dotted lines respectively represent zero and mean offset. The mean (and the standard deviation) offsets for the bright (Ks < 8.5 mag) and faint (Ks ≥ 8.5 mag) Cepheids are also mentioned at the top left and bottom right of each panel. The filled circles and squares represent FU and FO Cepheids, respectively.
Current usage metrics show cumulative count of Article Views (full-text article views including HTML views, PDF and ePub downloads, according to the available data) and Abstracts Views on Vision4Press platform.
Data correspond to usage on the plateform after 2015. The current usage metrics is available 48-96 hours after online publication and is updated daily on week days.
Initial download of the metrics may take a while.