Open Access
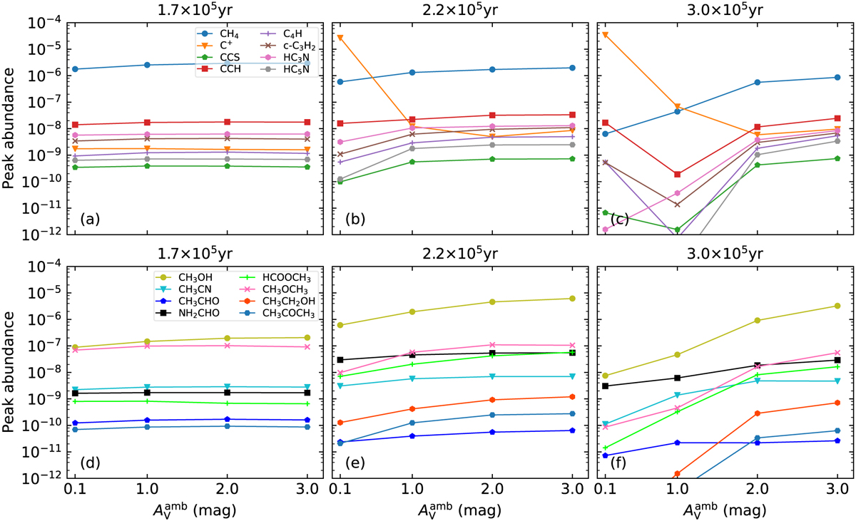
Fig. 6

Download original image
Peak abundances at specific regions vary with visual extinction of ambient clouds at some specific times. Peak abundances of gaseous carbon-chain molecules around the CH4 sublimation regions (T = 20–35 K; a–c). Peak abundances of gaseous COMs around the hot corino regions (T ≥ 100 K; d–f).
Current usage metrics show cumulative count of Article Views (full-text article views including HTML views, PDF and ePub downloads, according to the available data) and Abstracts Views on Vision4Press platform.
Data correspond to usage on the plateform after 2015. The current usage metrics is available 48-96 hours after online publication and is updated daily on week days.
Initial download of the metrics may take a while.