Open Access
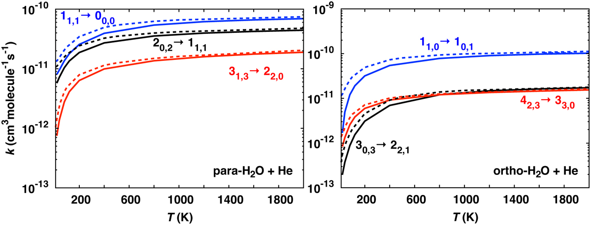
Fig. C.4

Download original image
Rotational rate coefficient of para-H2O and ortho-H2O by He reported by Green et al. (1993) (solid lines), and Yang et al. (2013) (dashed lines). Rotational transitions of H2O are labelled as .
Current usage metrics show cumulative count of Article Views (full-text article views including HTML views, PDF and ePub downloads, according to the available data) and Abstracts Views on Vision4Press platform.
Data correspond to usage on the plateform after 2015. The current usage metrics is available 48-96 hours after online publication and is updated daily on week days.
Initial download of the metrics may take a while.