Fig. 11.

Download original image
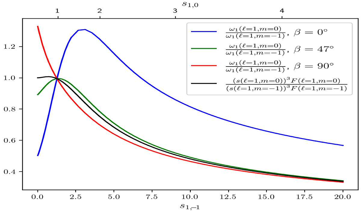
Ratio of the magnetic shifts produced by the zonal dipolar mode, ℓ = 1, m = 0, and the prograde dipolar mode, ℓ = 1, m = −1, of the same radial order, n, as a function of their spin parameters, s1, −1 (lower x axis) and s1, 0 (upper x axis). The ratio was computed for three different angles of an inclined dipolar field, β = 0° (blue), β = 47° (green), and β = 90° (red). The ratio of the product, F(s)s3, which does not depend on the field topology, is also displayed (black).
Current usage metrics show cumulative count of Article Views (full-text article views including HTML views, PDF and ePub downloads, according to the available data) and Abstracts Views on Vision4Press platform.
Data correspond to usage on the plateform after 2015. The current usage metrics is available 48-96 hours after online publication and is updated daily on week days.
Initial download of the metrics may take a while.