Fig. 3.

Download original image
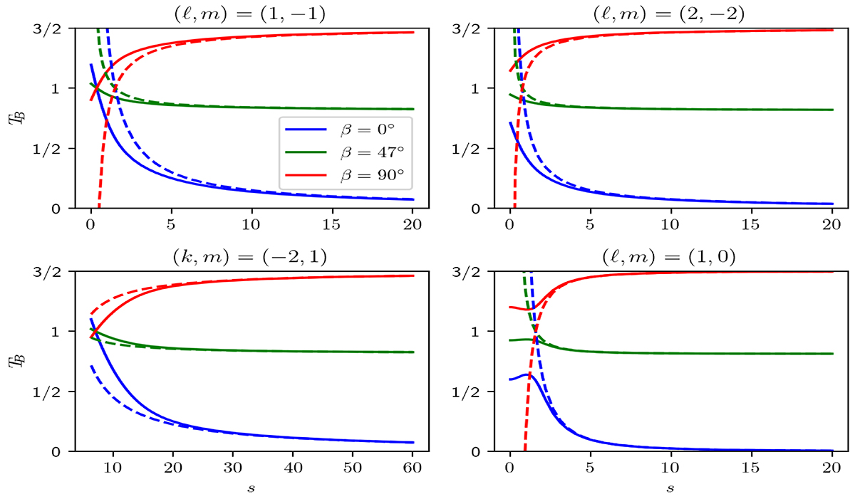
TB factors of the (ℓ,m) = [(1, −1),(2, −2),(1, 0)], (k, m) = (−2, 1) modes displayed as a function of their spin parameter for three different angles of the inclined dipolar field, β = 0° (blue), β = 47° (green), and β = 90° (red). The continuous lines correspond to the numerical results and the dashed lines to the approximate analytical solutions valid in the high-s limit.
Current usage metrics show cumulative count of Article Views (full-text article views including HTML views, PDF and ePub downloads, according to the available data) and Abstracts Views on Vision4Press platform.
Data correspond to usage on the plateform after 2015. The current usage metrics is available 48-96 hours after online publication and is updated daily on week days.
Initial download of the metrics may take a while.