Fig. 4.

Download original image
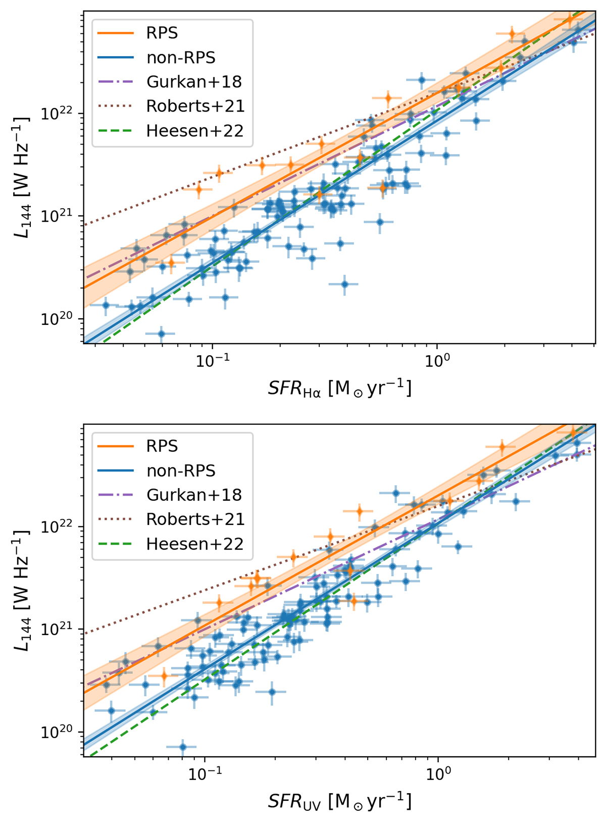
Radio–SFR relations. Top panel: Hα-inferred SFRs against radio luminosity for galaxies in the RPS sample (orange data points) and other galaxies in the LOFAR HRS sample (blue data points). The orange and blue lines represent the best-fitting power-law fits and the corresponding 1σ uncertainty bands for those samples. The green, purple and brown lines are fits taken from the literature. Bottom panel: same as above but for the UV-based SFRs.
Current usage metrics show cumulative count of Article Views (full-text article views including HTML views, PDF and ePub downloads, according to the available data) and Abstracts Views on Vision4Press platform.
Data correspond to usage on the plateform after 2015. The current usage metrics is available 48-96 hours after online publication and is updated daily on week days.
Initial download of the metrics may take a while.