Open Access
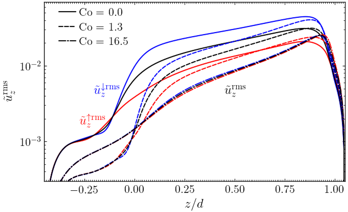
Fig. 11.

Download original image
Horizontally averaged vertical rms velocity for the same runs as in Fig. 9. The overall vertical velocity () is shown in black, and the corresponding quantities for upflows (
) and downflows (
) are shown in red and blue, respectively. The tildes refer to normalisation by
.
Current usage metrics show cumulative count of Article Views (full-text article views including HTML views, PDF and ePub downloads, according to the available data) and Abstracts Views on Vision4Press platform.
Data correspond to usage on the plateform after 2015. The current usage metrics is available 48-96 hours after online publication and is updated daily on week days.
Initial download of the metrics may take a while.