Open Access
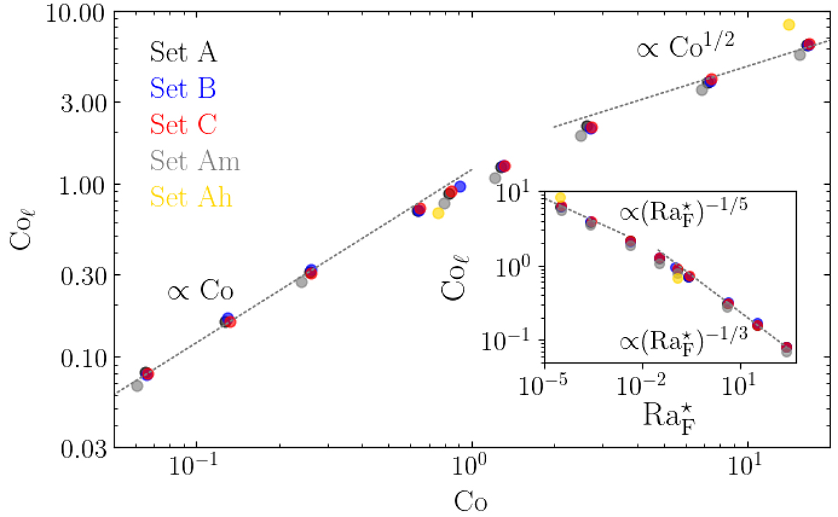
Fig. 5.

Download original image
Dynamical Coriolis number Coℓ as a function of Co for all of the runs in Table 1. Power laws proportional to Co (slow rotation; Co < 1) and Co1/2 (rapid rotation; Co > 2) are shown for reference. The inset shows Coℓ as a function of with power laws proportional to
(rapid rotation;
), and
(slow rotation;
).
Current usage metrics show cumulative count of Article Views (full-text article views including HTML views, PDF and ePub downloads, according to the available data) and Abstracts Views on Vision4Press platform.
Data correspond to usage on the plateform after 2015. The current usage metrics is available 48-96 hours after online publication and is updated daily on week days.
Initial download of the metrics may take a while.