Fig. 3.

Download original image
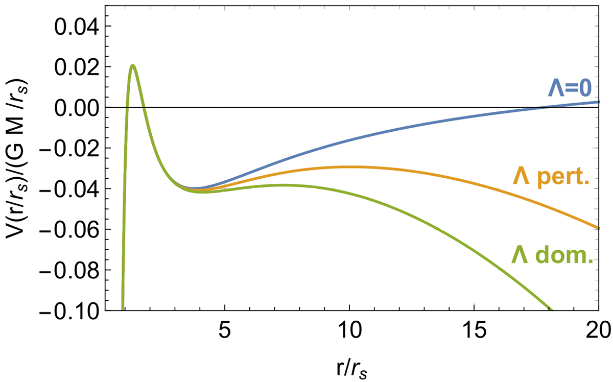
Effective potential including post-Newtonian (PN) and cosmological-constant contributions scaled by the Newtonian potential at the Schwarzschild radius rs = 2GM/c2 versus the radius scaled by rs. For Λ = 0 (blue curve), stable orbits are reduced to the PN case. For small, perturbative Λ (yellow curve), stable orbits can only become unbounded beyond a certain radius, where the impact of Λ dominates. For large, dominating values of Λ (green curve), there are only unbounded orbits.
Current usage metrics show cumulative count of Article Views (full-text article views including HTML views, PDF and ePub downloads, according to the available data) and Abstracts Views on Vision4Press platform.
Data correspond to usage on the plateform after 2015. The current usage metrics is available 48-96 hours after online publication and is updated daily on week days.
Initial download of the metrics may take a while.