Fig. 7

Download original image
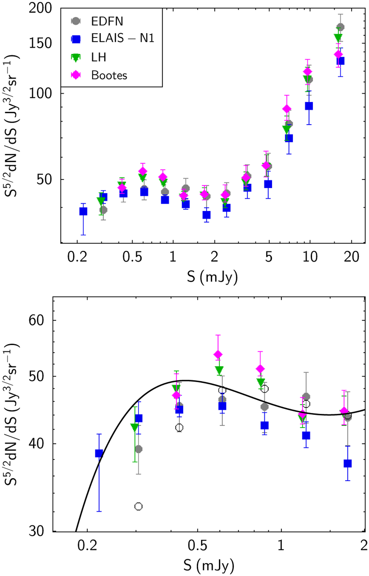
Euclidean normalised radio source counts at 144 MHz, obtained for Euclid Deep Field North plotted together with those obtained from other LOFAR Deep Fields (see symbols) from Mandal et al. (2021). The black line is the seventh-order polynomial fit from Mandal et al. (2021). The lower panel is a zoomed-in view of the region between 0.2 and 2 mJy also showing the uncorrected normalised source counts for the EDFN with empty circles.
Current usage metrics show cumulative count of Article Views (full-text article views including HTML views, PDF and ePub downloads, according to the available data) and Abstracts Views on Vision4Press platform.
Data correspond to usage on the plateform after 2015. The current usage metrics is available 48-96 hours after online publication and is updated daily on week days.
Initial download of the metrics may take a while.