Fig. 13.

Download original image
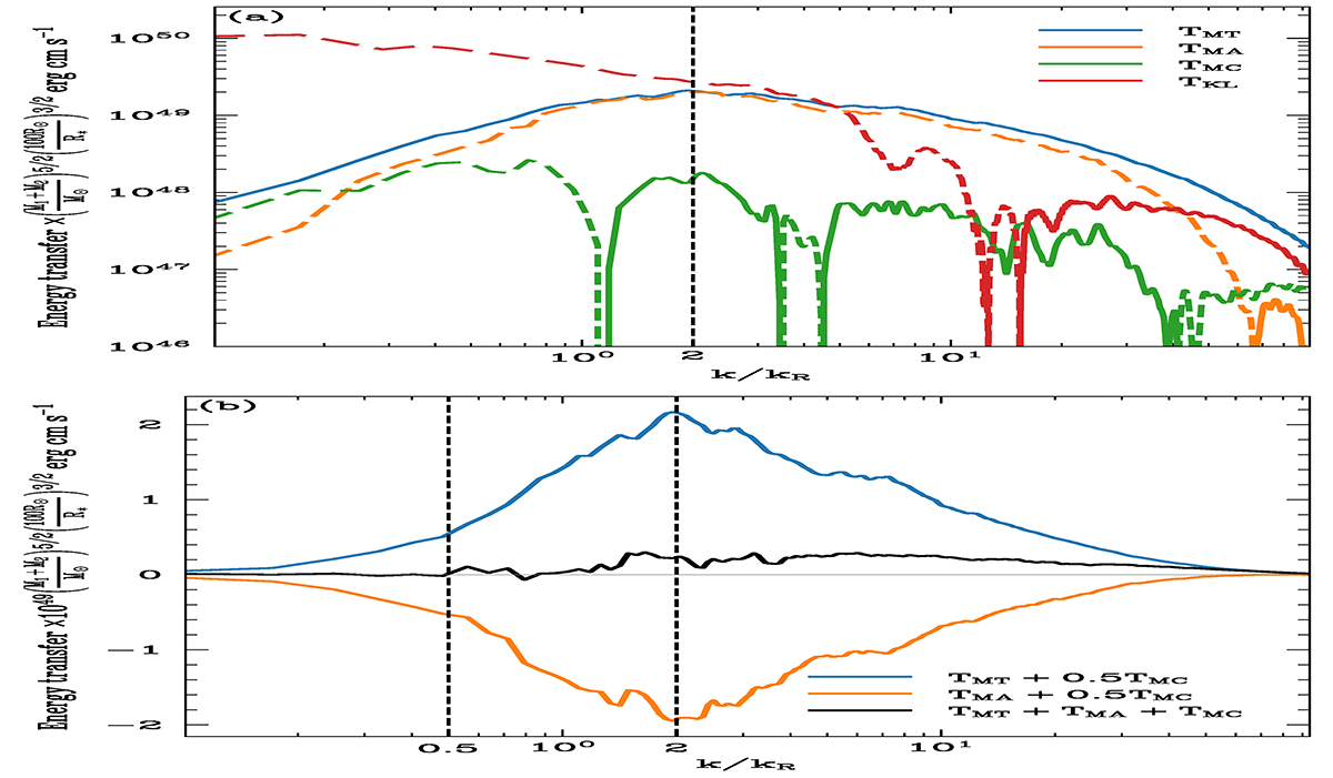
Results of the energy transfer analysis. Panel a: Magnetic energy transfer as a function of the normalized wavenumber with kR = 2π/R* averaged over twenty spectra spanning three orbital periods during the saturated phase, 137 ≤ t/Porb ≤ 140. Positive values of transfer functions at a given wavenumber k (full line) indicate gain of energy at the scale 2π/k, negative values (dashed line) indicate a loss of energy at this scale. Panel b: Same as panel a, except splitting the magnetic energy transfer rate into magnetic cascade contribution TMA(k)+0.5TMC(k) and kinetic to magnetic energy transfer TMT(k)+0.5TMC(k).
Current usage metrics show cumulative count of Article Views (full-text article views including HTML views, PDF and ePub downloads, according to the available data) and Abstracts Views on Vision4Press platform.
Data correspond to usage on the plateform after 2015. The current usage metrics is available 48-96 hours after online publication and is updated daily on week days.
Initial download of the metrics may take a while.