Fig. 9

Download original image
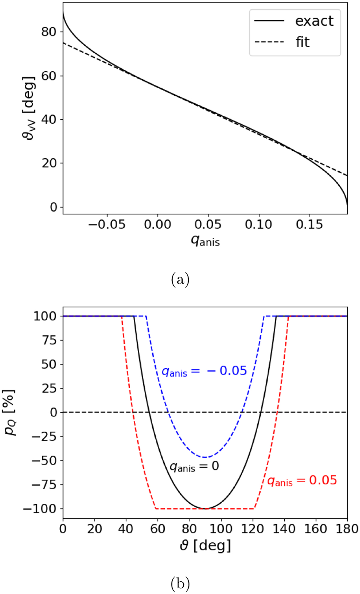
Polarization properties of an anisotropically pumped saturated maser in the limit considered by Goldreich et al. (1973) (see text preceding Eq. (11)). Polarization properties are summarized through, (a) the van Vleck angle as a function of the anisotropic pumping degree, and (b) the polarization fraction as a function of the propagation angle for different degrees of anisotropically pumping.
Current usage metrics show cumulative count of Article Views (full-text article views including HTML views, PDF and ePub downloads, according to the available data) and Abstracts Views on Vision4Press platform.
Data correspond to usage on the plateform after 2015. The current usage metrics is available 48-96 hours after online publication and is updated daily on week days.
Initial download of the metrics may take a while.