Open Access

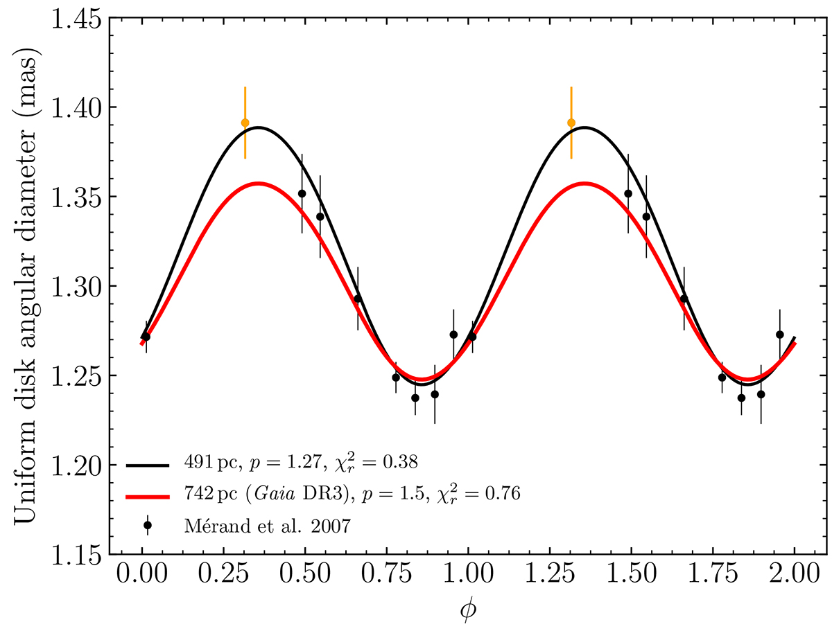
Fig. 10.

image

Download original image

Comparison of uniform disk angular diameter measurements in K-band from Mérand et al. (2007) with a combination of the Gaia DR3 distance and a p-factor of 1.5. The orange bar is a discrepant measurement compared to Gaia distance model (see Sect. 6.6).

Current usage metrics show cumulative count of Article Views (full-text article views including HTML views, PDF and ePub downloads, according to the available data) and Abstracts Views on Vision4Press platform.

Data correspond to usage on the plateform after 2015. The current usage metrics is available 48-96 hours after online publication and is updated daily on week days.

Initial download of the metrics may take a while.