Open Access

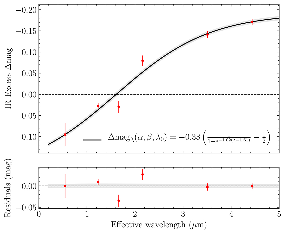
Fig. 4.

image

Download original image

Fit of the parametric CSE model derived from Eq. (6) in the case of the best fit at 8 M. Errors bars represent the standard deviation of photometric measurements compared to the model. The grey region is the error on the magnitude obtained using the covariance matrix of the fitting result.

Current usage metrics show cumulative count of Article Views (full-text article views including HTML views, PDF and ePub downloads, according to the available data) and Abstracts Views on Vision4Press platform.

Data correspond to usage on the plateform after 2015. The current usage metrics is available 48-96 hours after online publication and is updated daily on week days.

Initial download of the metrics may take a while.