Open Access
Fig. B.1

Download original image
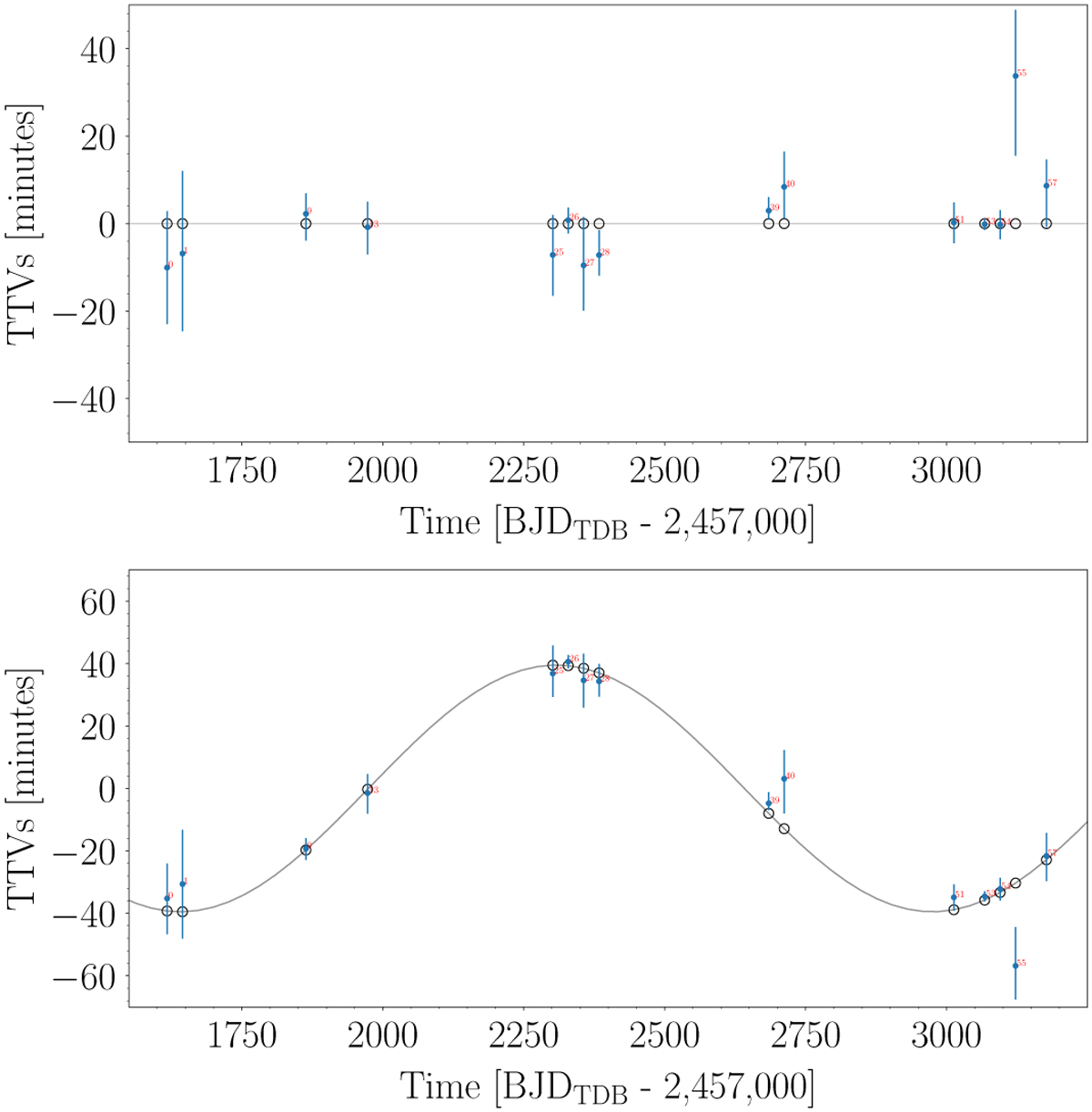
Posterior TTVs of the simulated data (simulation 1 in the upper panel and simulation 2 in the lower panel), relative to a linear ephemeris, are shown with blue error bars. The open black circles are the simulated data, and the gray line is the simulated model for the TTVs.
Current usage metrics show cumulative count of Article Views (full-text article views including HTML views, PDF and ePub downloads, according to the available data) and Abstracts Views on Vision4Press platform.
Data correspond to usage on the plateform after 2015. The current usage metrics is available 48-96 hours after online publication and is updated daily on week days.
Initial download of the metrics may take a while.