Open Access

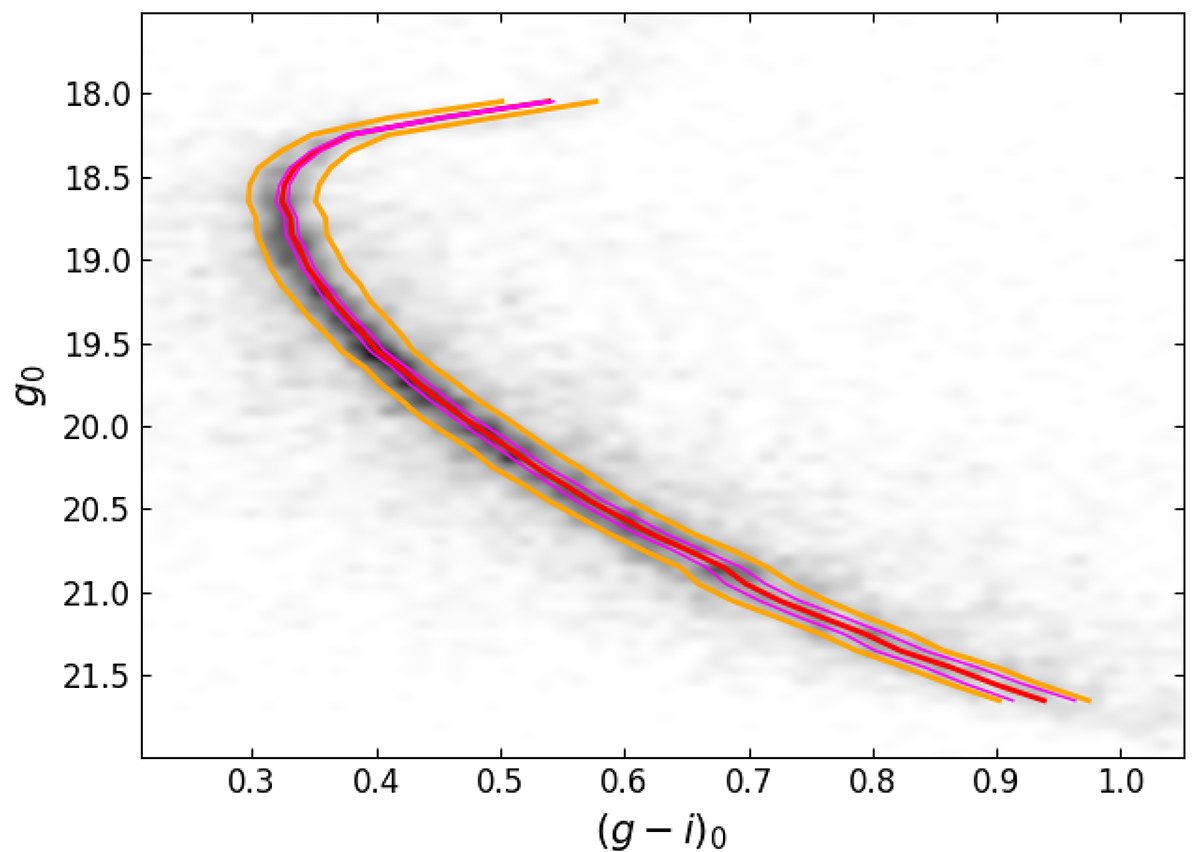
Fig. 3.

image

Download original image

Hess diagram for the stars located within 2 × rh from the cluster center. The traced cluster’s main sequence ridge line (red), its defined lower and upper color limits (orange), and those corresponding to the mode of the color error distribution (magenta) are superimposed, respectively.

Current usage metrics show cumulative count of Article Views (full-text article views including HTML views, PDF and ePub downloads, according to the available data) and Abstracts Views on Vision4Press platform.

Data correspond to usage on the plateform after 2015. The current usage metrics is available 48-96 hours after online publication and is updated daily on week days.

Initial download of the metrics may take a while.