Open Access
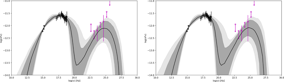
Fig. 5

Download original image
Observed SED of 3HSP J095507.9+355101 (colored markers) fitted with the GRU NN generated model, with emcee (left) and UltraNest (right). The dark- and light-shaded areas denote, respectively, the 50% and 90% confidence regions of the fitted models.
Current usage metrics show cumulative count of Article Views (full-text article views including HTML views, PDF and ePub downloads, according to the available data) and Abstracts Views on Vision4Press platform.
Data correspond to usage on the plateform after 2015. The current usage metrics is available 48-96 hours after online publication and is updated daily on week days.
Initial download of the metrics may take a while.