Open Access

Fig. 3.

image

Download original image

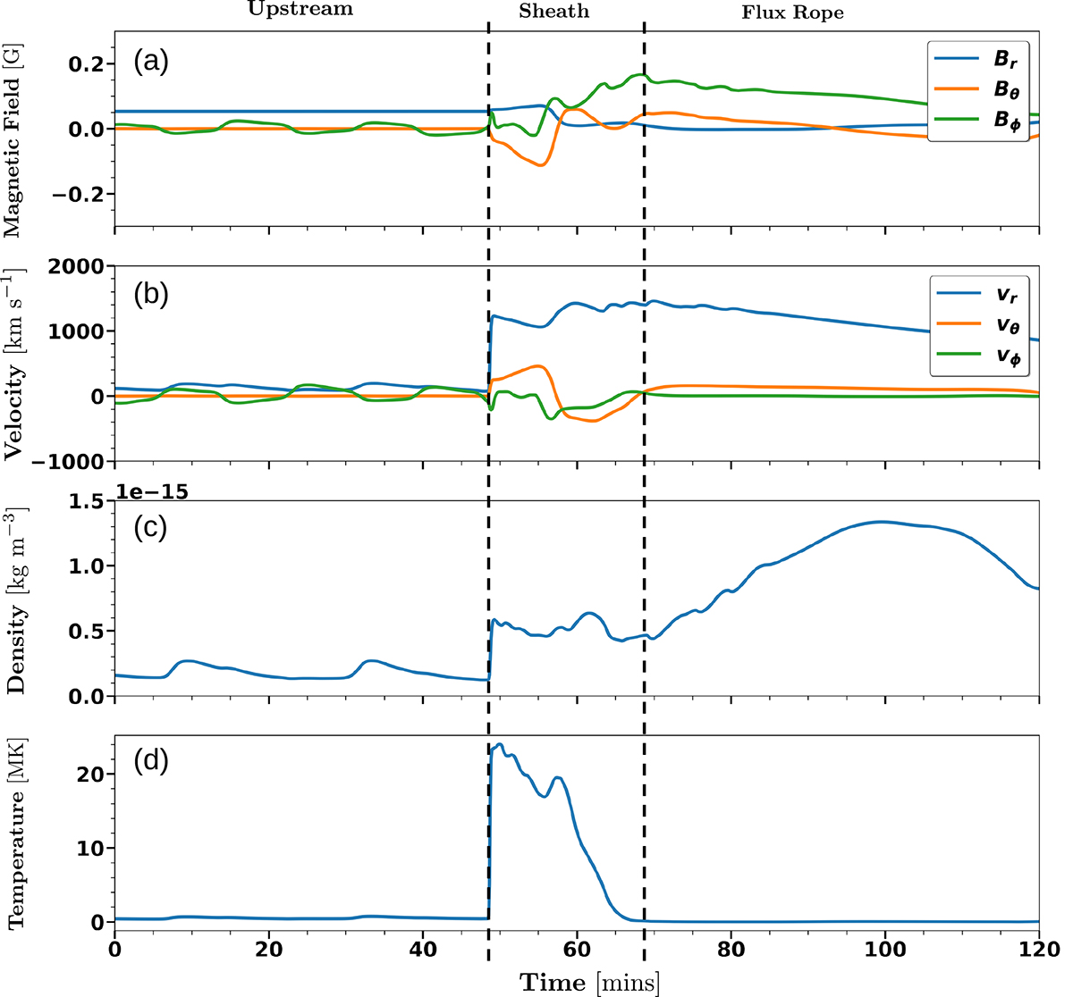
Measurement of plasma parameters by a virtual spacecraft located at 10 R and with a viewing angle of 125°. The vertical lines delineate the upstream, sheath, and FR intervals encountered by the spacecraft.

Current usage metrics show cumulative count of Article Views (full-text article views including HTML views, PDF and ePub downloads, according to the available data) and Abstracts Views on Vision4Press platform.

Data correspond to usage on the plateform after 2015. The current usage metrics is available 48-96 hours after online publication and is updated daily on week days.

Initial download of the metrics may take a while.