Open Access

Fig. 5.

image

Download original image

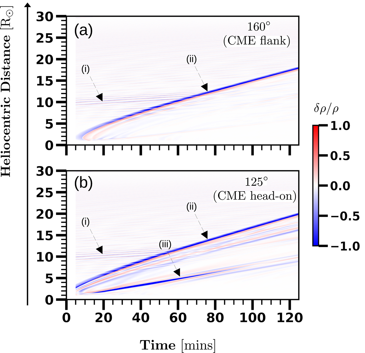
Ten-minute averaged density perturbations δρ/ρ are presented for viewing angles of 160° (flank, panel a), and 125° (head-on, panel b). The annotations denote enhanced perturbations near 10 R in the quiet wind (i), the CME shock (ii), and the FR leading edge (iii).

Current usage metrics show cumulative count of Article Views (full-text article views including HTML views, PDF and ePub downloads, according to the available data) and Abstracts Views on Vision4Press platform.

Data correspond to usage on the plateform after 2015. The current usage metrics is available 48-96 hours after online publication and is updated daily on week days.

Initial download of the metrics may take a while.