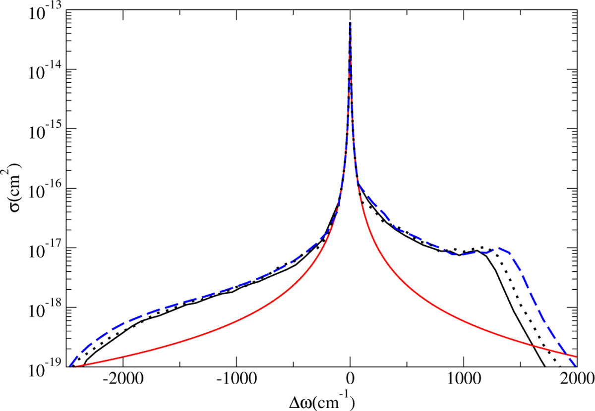
Fig. A.1

Download original image
Absorption cross section of the K D2 component at T =3000 K, nHe=1× 1020 cm−3 (black line) compared to the Lorentzian profile (red line). The corresponding profiles for T=3000 K using the pseudo-potentials of Pascale (1983) (dashed blue line) and the ab initio potentials of Blank et al. (2012) (dotted black line) are overplotted.
Current usage metrics show cumulative count of Article Views (full-text article views including HTML views, PDF and ePub downloads, according to the available data) and Abstracts Views on Vision4Press platform.
Data correspond to usage on the plateform after 2015. The current usage metrics is available 48-96 hours after online publication and is updated daily on week days.
Initial download of the metrics may take a while.