Fig. 2

Download original image
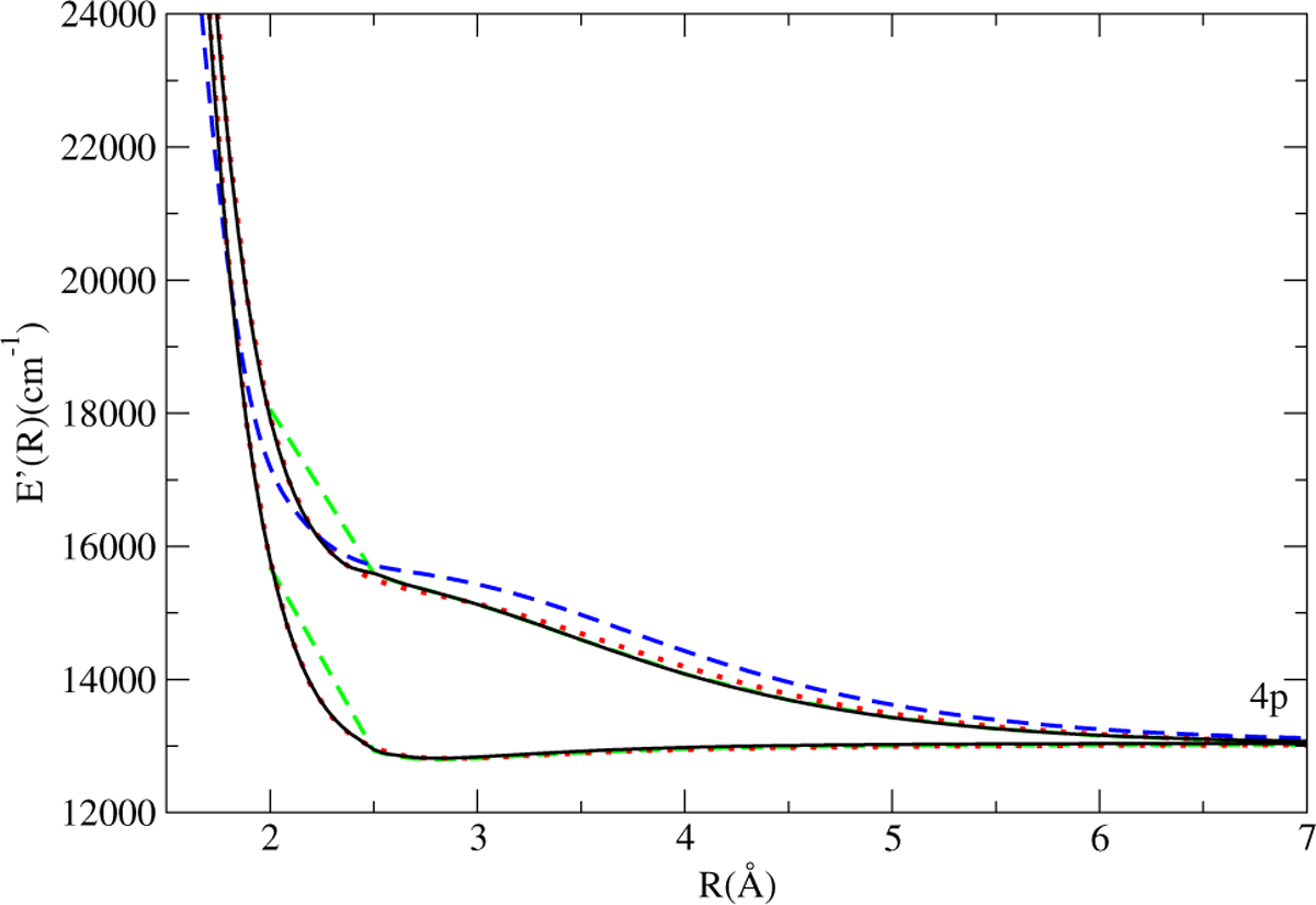
Potential curves for the 4p A Π and 4p B 2Σ states of the K–He molecule for ab initio potentials of Nakayama & Yamashita (2001) (dashed green line) are compared to potentials of Santra & Kirby (2005) (dotted red line), pseudo-potentials of Pascale (1983) for the B 2Σ state (dashed blue line), and the adopted potentials (black line).
Current usage metrics show cumulative count of Article Views (full-text article views including HTML views, PDF and ePub downloads, according to the available data) and Abstracts Views on Vision4Press platform.
Data correspond to usage on the plateform after 2015. The current usage metrics is available 48-96 hours after online publication and is updated daily on week days.
Initial download of the metrics may take a while.