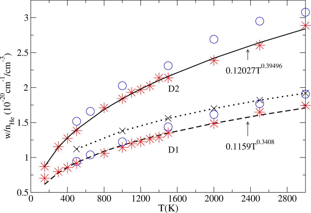
Fig. 9

Download original image
Variation with temperature of the broadening rate (w/nHe) of the 4P3/2–4s (solid line) and 4P1/2–4s (dashed line) resonance lines of K perturbed by He collisions. A comparison is made with Pascale (1983) (blue circle) and van der Waals (dotted black line). The rates are in units of 10−20 cm−1/cm−3.
Current usage metrics show cumulative count of Article Views (full-text article views including HTML views, PDF and ePub downloads, according to the available data) and Abstracts Views on Vision4Press platform.
Data correspond to usage on the plateform after 2015. The current usage metrics is available 48-96 hours after online publication and is updated daily on week days.
Initial download of the metrics may take a while.