Fig. 1.

Download original image
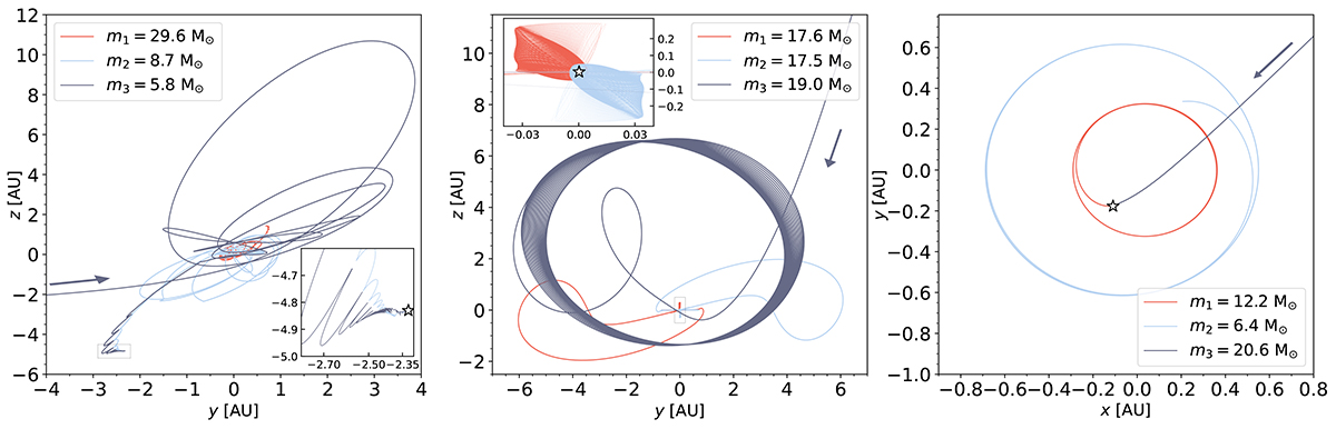
Trajectories of three eccentric mergers triggered by a three-body interaction in NSCs (left- and right-hand panels) and GCs (central panel). In the three panels, the systems are centred in the centre of mass of the initial BBH, while the position at which the merger takes place is marked with a white star. The trajectories of the primary and secondary BH of the initial BBH (with mass m1 and m2), and the intruder (m3) are reported in red, blue, and grey, respectively. The incoming direction of the intruder is shown with an arrow. The insets in the left-hand and central panels display a close-up view of the merger region. In the left-hand and central panels, the initial binary is shown edge-on, while in the right-hand panel the view is face-on. The initial coalescence time of these BBHs, i.e. the coalescence time of the initial binary at the beginning of the interaction, is longer than the Hubble time.
Current usage metrics show cumulative count of Article Views (full-text article views including HTML views, PDF and ePub downloads, according to the available data) and Abstracts Views on Vision4Press platform.
Data correspond to usage on the plateform after 2015. The current usage metrics is available 48-96 hours after online publication and is updated daily on week days.
Initial download of the metrics may take a while.