Open Access
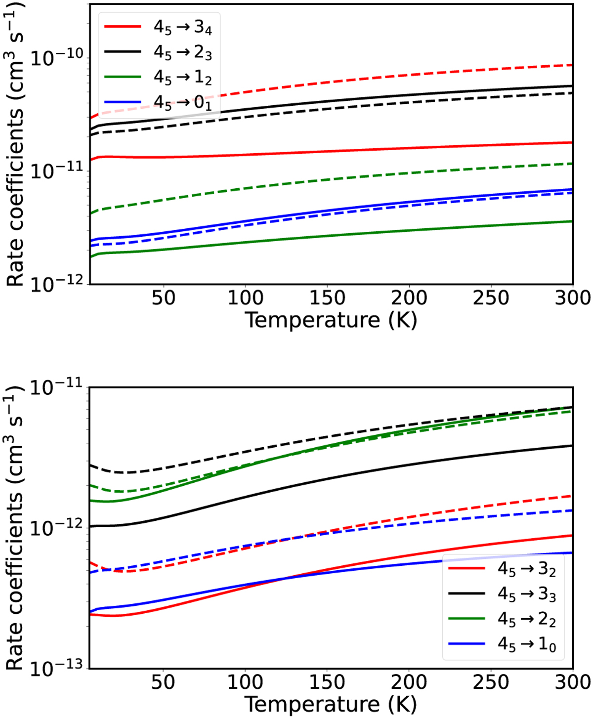
Fig. 3

Download original image
Temperature dependence of fine-structure resolved de-excitation rate coefficients for NH in collision with para-H2 (solid) and ortho-H2 (dashed). The fine-structure conserving transitions (∆n1 = ∆j1) are presented in the top panel; the fine-structure changing transitions (∆n1 ≠ ∆j1) are shown in the bottom panel.
Current usage metrics show cumulative count of Article Views (full-text article views including HTML views, PDF and ePub downloads, according to the available data) and Abstracts Views on Vision4Press platform.
Data correspond to usage on the plateform after 2015. The current usage metrics is available 48-96 hours after online publication and is updated daily on week days.
Initial download of the metrics may take a while.