Fig. 2

Download original image
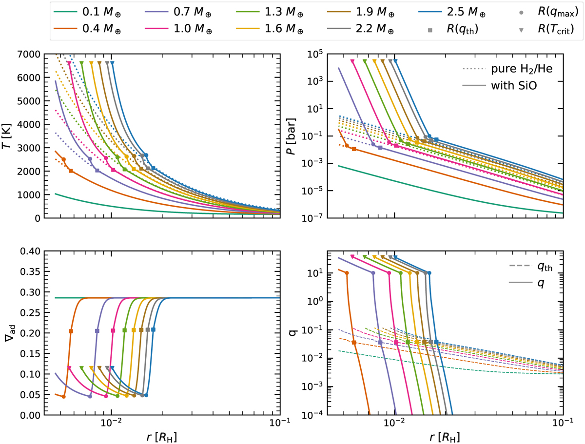
Envelope profiles of a selected set of planet masses accreting at Ṁp = 10−6 M⊕ yr−1. The distance to the core is given in units of the Hill radius. The color corresponds to the mass of the planet. The top row shows the temperature (left) and pressure (right). Solid lines include the enrichment with SiO while dashed lines correspond to a pure H2/He envelope. The bottom row shows the moist adiabatic gradient including the latent heat from SiO condensation (left) and the mass mixing radio (right). The critical mass ratio is shown by dashed lines. In all four plots, the squares indicate the start of the inner radiative region and the filled circles the end. Planets larger than 0.75 M⊕ possess a supercritical magma ocean. The surface of this ocean is marked by the triangles.
Current usage metrics show cumulative count of Article Views (full-text article views including HTML views, PDF and ePub downloads, according to the available data) and Abstracts Views on Vision4Press platform.
Data correspond to usage on the plateform after 2015. The current usage metrics is available 48-96 hours after online publication and is updated daily on week days.
Initial download of the metrics may take a while.