Fig. 3

Download original image
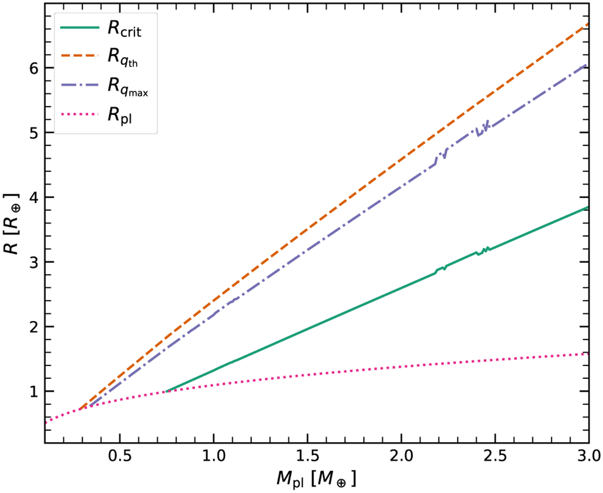
Key radii as a function of the planet mass. The dashed orange line indicates the location where q > qth for the first time, while the purple dash-dotted line shows the location where q > qmax for the first time. The solid green line indicates the surface of the supercritical magma ocean, and the dotted pink line the radius of the planet without the supercritical magma ocean. For planets with Mpl ≥ 0.75 M⊕, the accretion heating from the incoming pebbles is released at the surface of this supercritical magma ocean. The feature between 2.1 M⊕ and 2.5 M⊕ in Rcrit and is due to slight discontinuities in the solution, caused by the finite numerical grid.
Current usage metrics show cumulative count of Article Views (full-text article views including HTML views, PDF and ePub downloads, according to the available data) and Abstracts Views on Vision4Press platform.
Data correspond to usage on the plateform after 2015. The current usage metrics is available 48-96 hours after online publication and is updated daily on week days.
Initial download of the metrics may take a while.