Fig. 5

Download original image
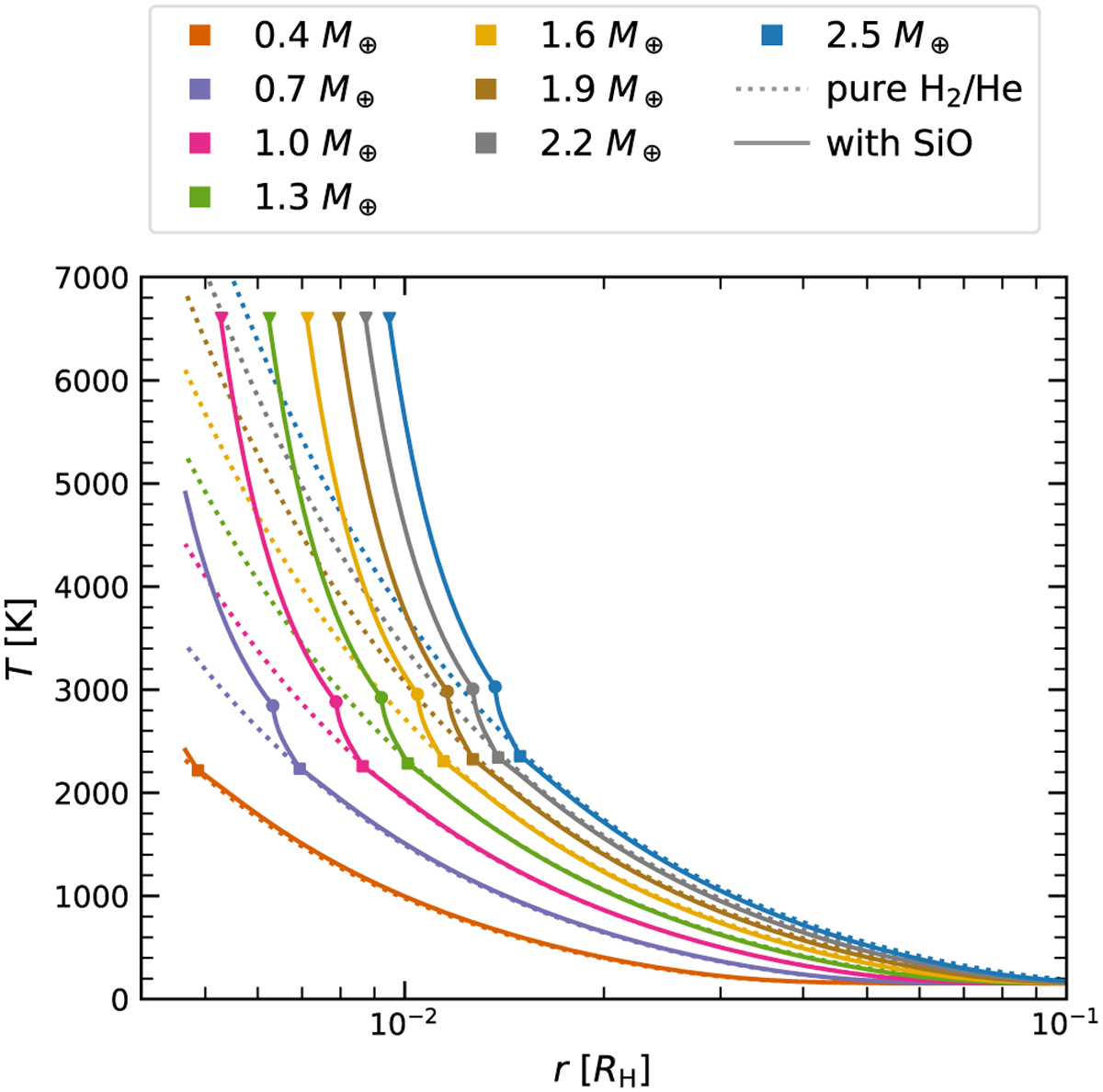
Temperature profiles of a selected set of planet masses and Ṁpeb = 10−7 M⊕ yr−1. Colors and line styles have the same meaning as in Fig. 2. At a given mass, the envelopes are slightly colder than in the nominal case Ṁpeb = 10−6 M⊕ yr−1. As a result, the enriched envelopes start to differ from the pure H2/He envelopes only after Mpl > 0.4 M⊕.
Current usage metrics show cumulative count of Article Views (full-text article views including HTML views, PDF and ePub downloads, according to the available data) and Abstracts Views on Vision4Press platform.
Data correspond to usage on the plateform after 2015. The current usage metrics is available 48-96 hours after online publication and is updated daily on week days.
Initial download of the metrics may take a while.