Open Access
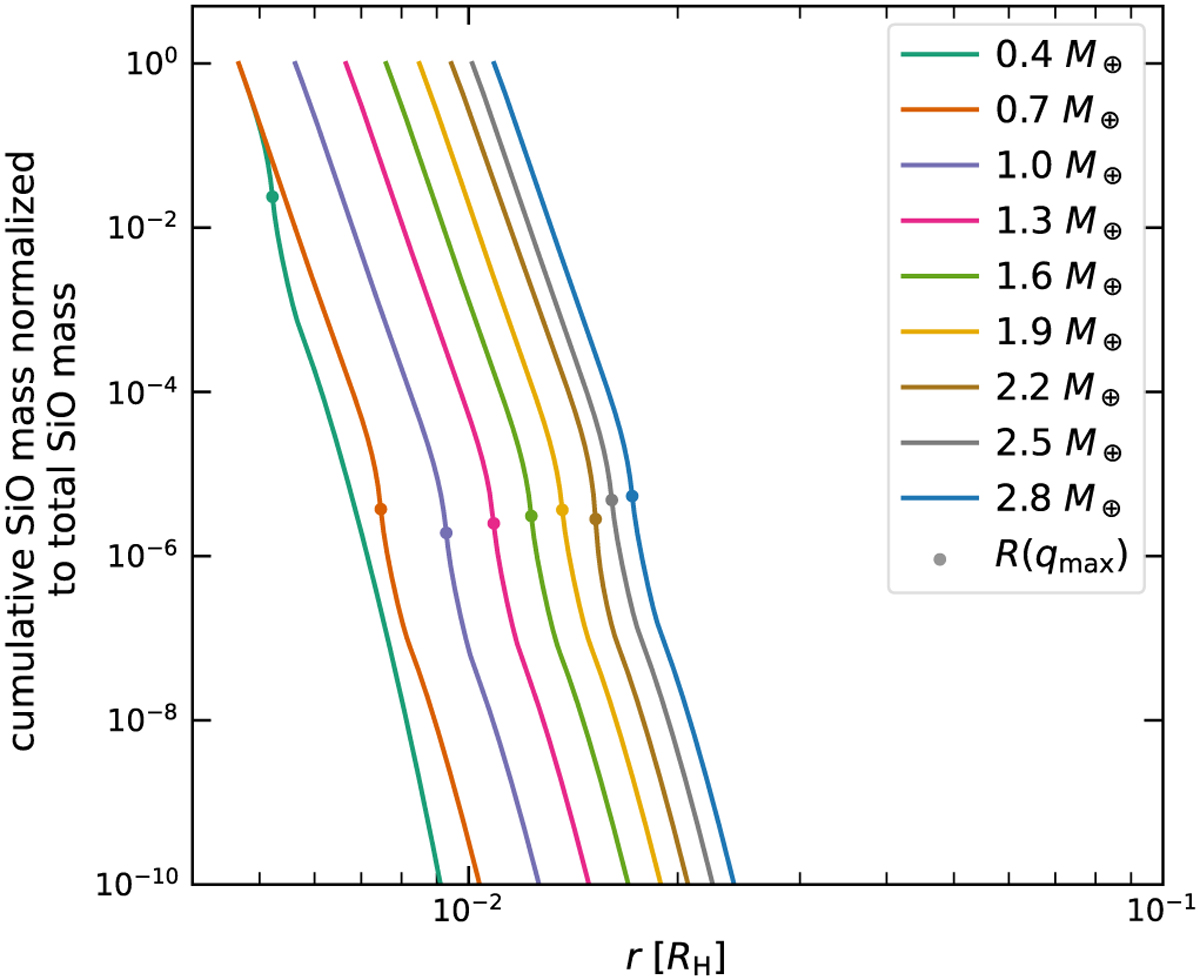
Fig. 7

Download original image
Cumulative mass distribution of SiO for different planet masses. The distance to the surface of the planet is given in units of the Hill radius of the respective planet. The filled circles mark the end of the inner radiative zone. Most of the SiO vapor mass is concentrated inside the radiative region.
Current usage metrics show cumulative count of Article Views (full-text article views including HTML views, PDF and ePub downloads, according to the available data) and Abstracts Views on Vision4Press platform.
Data correspond to usage on the plateform after 2015. The current usage metrics is available 48-96 hours after online publication and is updated daily on week days.
Initial download of the metrics may take a while.