Open Access
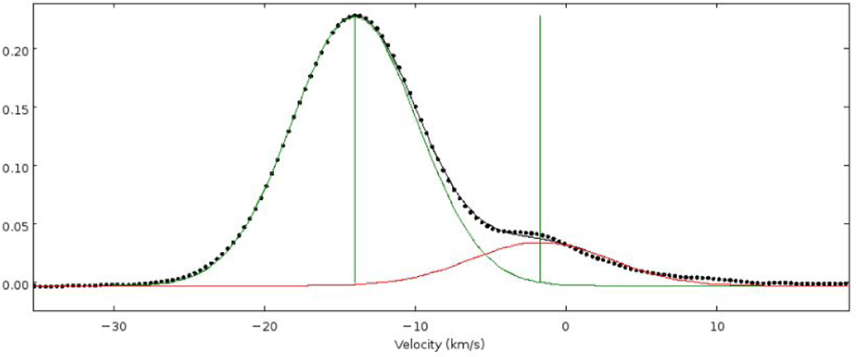
Fig. 3

Download original image
CCF of HIP 111170 (at JD 2457 201), fully revealing its SB2 nature. The widths of the Gaussians fitted to the CCF are 3.8 km s–1 for the main peak (close to the instrumental value) and 8.7 km s–1 for the secondary star.
Current usage metrics show cumulative count of Article Views (full-text article views including HTML views, PDF and ePub downloads, according to the available data) and Abstracts Views on Vision4Press platform.
Data correspond to usage on the plateform after 2015. The current usage metrics is available 48-96 hours after online publication and is updated daily on week days.
Initial download of the metrics may take a while.