Fig. 5

Download original image
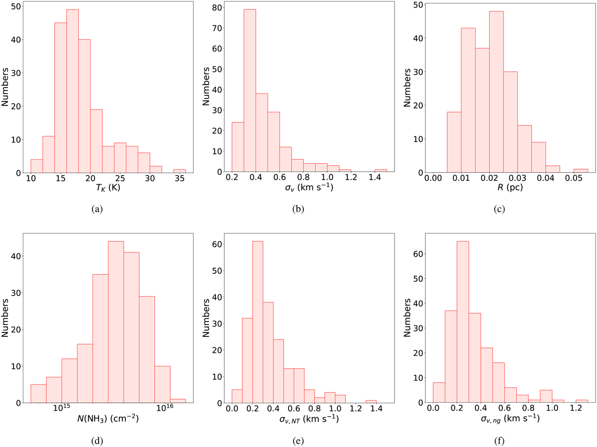
Distributions of the physical parameters of NH3 fragments. (a) Histogram of kinetic temperatures Tk. (b) Histogram of total velocity dispersions συ (including bulk motions and using the thermal component of the entirety of the molecular gas). (c) Histogram of deconvolved radii of NH3 fragments Rdec. (d) Histogram of NH3 column density N(NH3). (e) Histogram of nonthermal velocity dispersion with bulk motions συ,NT. (f) Histogram of nonthermal velocity dispersion without bulk motions συ,ng.
Current usage metrics show cumulative count of Article Views (full-text article views including HTML views, PDF and ePub downloads, according to the available data) and Abstracts Views on Vision4Press platform.
Data correspond to usage on the plateform after 2015. The current usage metrics is available 48-96 hours after online publication and is updated daily on week days.
Initial download of the metrics may take a while.