Fig. 1

Download original image
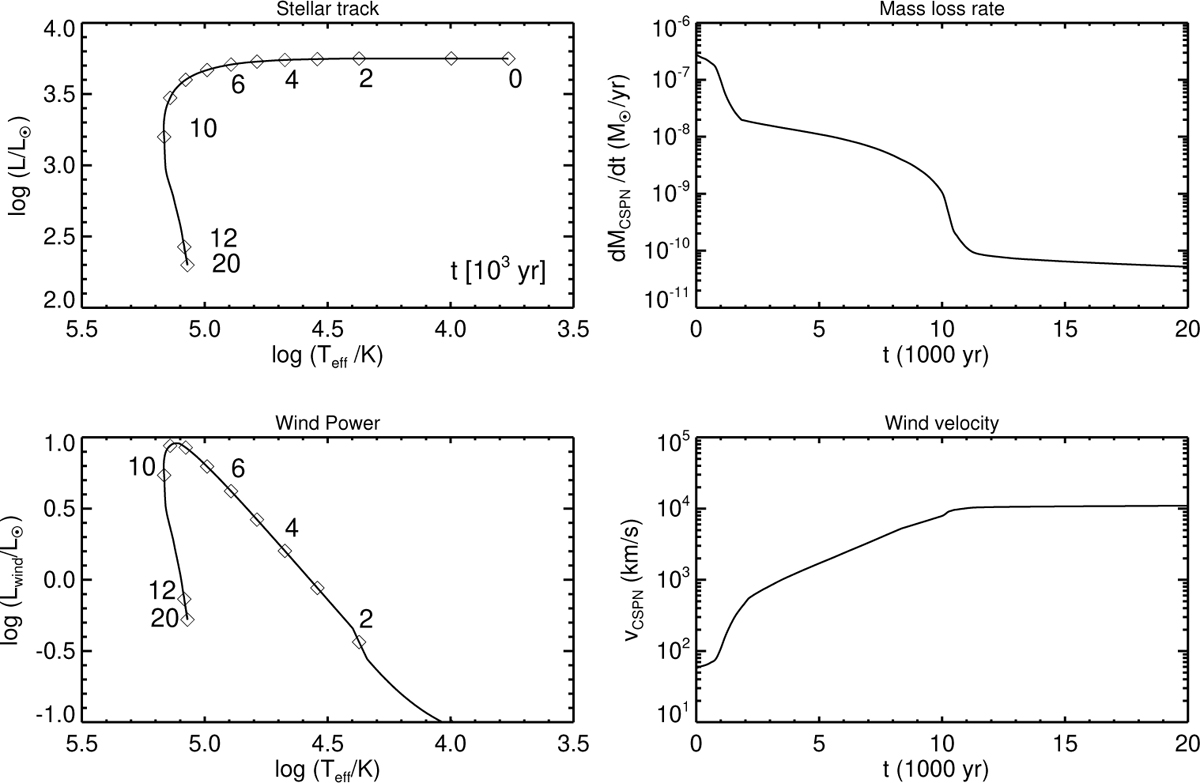
Evolution of stellar parameters and wind properties of our standard model of a 0.595 M⊙ AGB remnant. Left column: Run of stellar bolometric, Lstar/L⊙ (top), and wind luminosity, (bottom), versus stellar effective temperature. Post-AGB ages t (in units of 1000 yr) are indicated along the tracks by diamonds. Right column: Corresponding mass-loss rate (top) and (terminal) wind velocity versus post-AGB age t (bottom). We followed the recommendations of Pauldrach et al. (1988) for the central-star wind (Teff ≥ 25 000 K or t ≃ 2000 yr), while we assumed a (Reimers 1975) wind during the transition to the nebula domain (cf. also Perinotto et al. 2004).
Current usage metrics show cumulative count of Article Views (full-text article views including HTML views, PDF and ePub downloads, according to the available data) and Abstracts Views on Vision4Press platform.
Data correspond to usage on the plateform after 2015. The current usage metrics is available 48-96 hours after online publication and is updated daily on week days.
Initial download of the metrics may take a while.