Fig. 6

Download original image
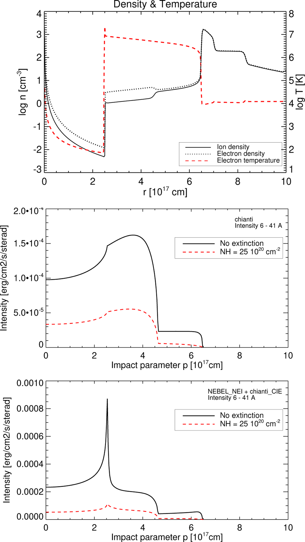
Hot-bubble structure of the WR100V05 simulation at t = 9107 yr, Teff = 139 968 K, L⋆ = 2841 L⊙· Top: radial profile of electron temperature (dashed, right ordinate), electron density (dotted), and ion density (solid). The star is at r = 0, the wind’s reverse shock at R1 = 2.5 × 1017 cm. The transition from the wind-shocked hydrogen-poor WR matter to the evaporated nebular PN matter is at r = 4.6 ×1017 cm (T ≃ 5.0 MK), the heat conduction front (bubble-nebula interface) at R2 = 6.5 ×1017 cm, and the high-density region between 6.5 × 1017 and 8.3 × 1017 cm is the fully ionised planetary nebula proper with its double-shell structure and an electron temperature of about 1.2×104 K. Middle: X-ray surface brightness distribution (6–11 Å) for the same model, assuming CIE, before (solid) and after (dashed) absorption by a hydrogen column density of NH = 0.25 × 1022 cm−2. The masses contained in the two bubble parts are 3.05 ×10−3 M⊙ of WR matter, supplied by the stellar wind, and 4.24 ×10−3 M⊙ of evaporated PN matter. Bottom: same as middle panel, but assuming NEI of nine key elements.
Current usage metrics show cumulative count of Article Views (full-text article views including HTML views, PDF and ePub downloads, according to the available data) and Abstracts Views on Vision4Press platform.
Data correspond to usage on the plateform after 2015. The current usage metrics is available 48-96 hours after online publication and is updated daily on week days.
Initial download of the metrics may take a while.