Fig. 7

Download original image
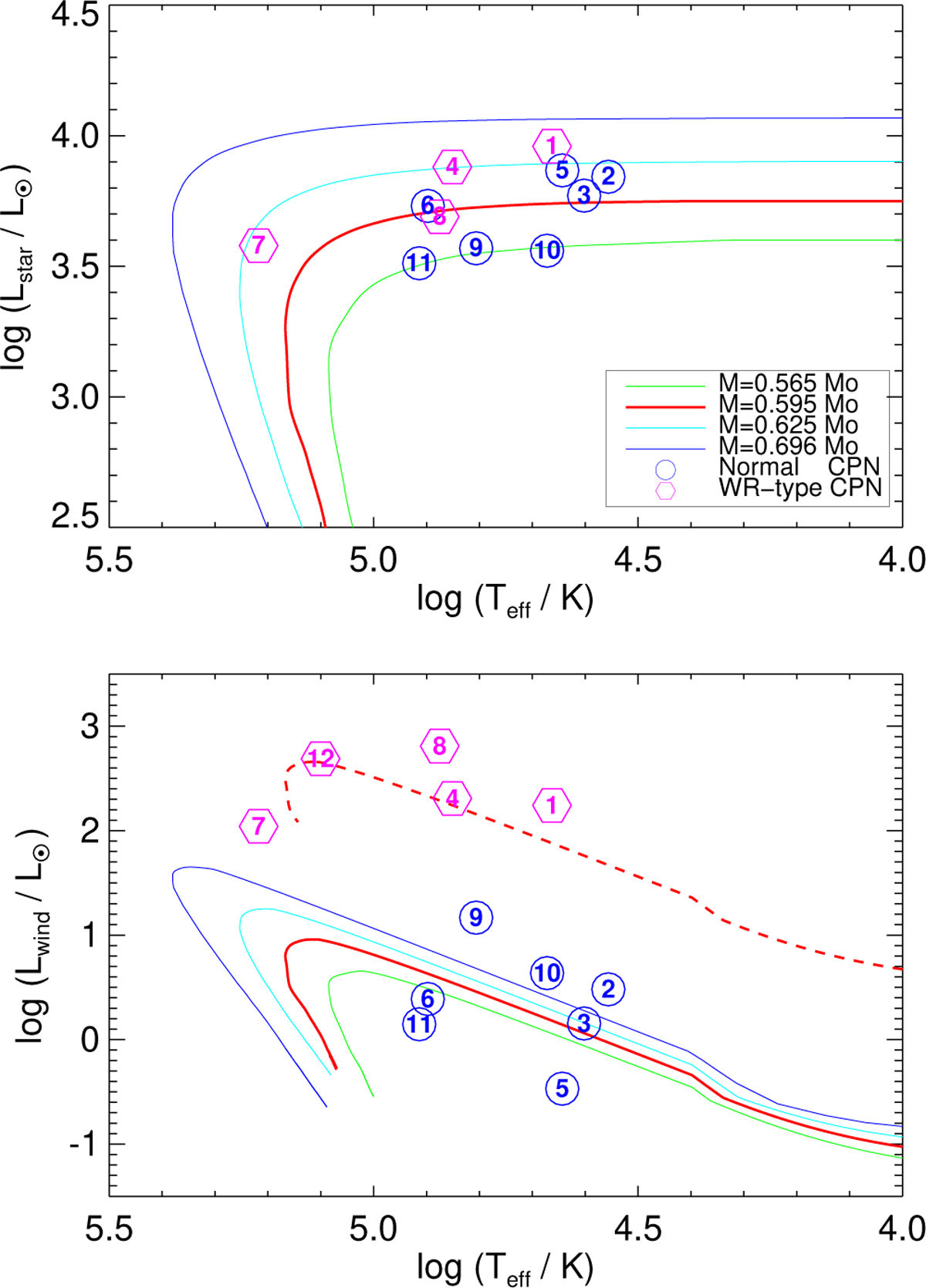
Evolution of stellar energy output of four AGB models with remnant masses of 0.565, 0.595, 0.625, and 0.696 M⊙ (already used in SSW and Ruiz et al. 2013) versus their effective temperatures. The ‘reference’ track of Fig. 1, 0.595 M⊙, is highlighted by a thick red line. The positions of the objects from Table 3 are labelled with the object’s number within either a circle (O-type central star) or a hexagon ([WR]-type central star). Top: stellar bolometric photon luminosity; NGC 7026 (no. 12) falls outside the plotted luminosity range. Bottom: wind luminosity of the same AGB-remnants; NGC 7026 is now included. Solid tracks refer to the ‘standard’ mass-loss model ṀPPKMH (Pauldrach et al. 1988, see Sect. 2). The dashed track corresponds to a 0.595 M⊙ model with the wind power increased by a factor of 50 (see text).
Current usage metrics show cumulative count of Article Views (full-text article views including HTML views, PDF and ePub downloads, according to the available data) and Abstracts Views on Vision4Press platform.
Data correspond to usage on the plateform after 2015. The current usage metrics is available 48-96 hours after online publication and is updated daily on week days.
Initial download of the metrics may take a while.