Fig. 9

Download original image
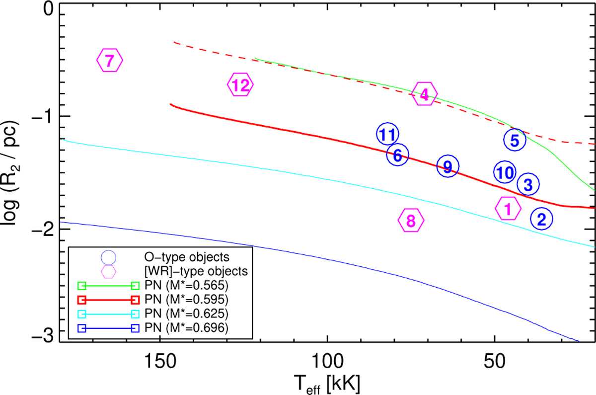
Bubble radius, log(R2) versus central-star effective temperature, Teff, as predicted by our hydrodynamical simulations of the 0.565, 0.595 (PN), 0.625, and 0.696 M⊙ sequences together with the sample objects. The dashed line refers to that in Fig. 7 (bottom panel) and is an estimate based on Eq. (5) if the wind power of the 0.595 M⊙ model is increased by a factor of 50. The simulations are plotted from the beginning of bubble formation till maximum stellar temperature.
Current usage metrics show cumulative count of Article Views (full-text article views including HTML views, PDF and ePub downloads, according to the available data) and Abstracts Views on Vision4Press platform.
Data correspond to usage on the plateform after 2015. The current usage metrics is available 48-96 hours after online publication and is updated daily on week days.
Initial download of the metrics may take a while.