Open Access

Fig. 1

image

Download original image

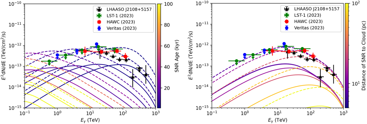
Dependence of γ-ray flux on properties of a type II supernova. Left: variation in supernova age for a fixed distance of 24 pc. Right: variation with distance between the SNR and the cloud for a fixed age of 4 kyr. Solid lines correspond to MML[2017]4607 and dashed lines correspond to FKT[2022].

Current usage metrics show cumulative count of Article Views (full-text article views including HTML views, PDF and ePub downloads, according to the available data) and Abstracts Views on Vision4Press platform.

Data correspond to usage on the plateform after 2015. The current usage metrics is available 48-96 hours after online publication and is updated daily on week days.

Initial download of the metrics may take a while.