Open Access
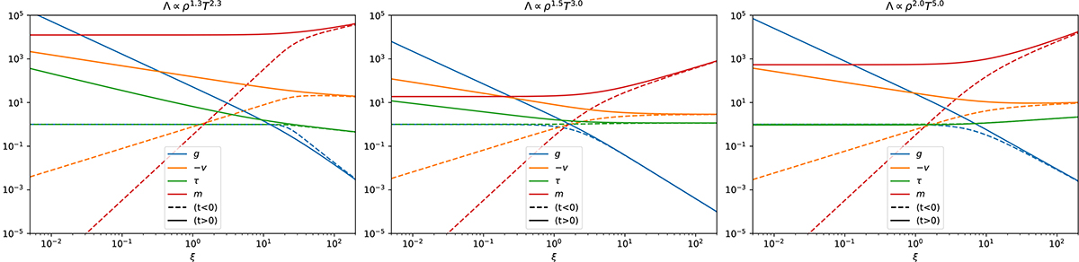
Fig. 2.

Download original image
Complete self-similar solutions for three cases (from left to right): (m, n) = (1.3, 2.3),(1.5, 3), and (2, 5). The dimensionless density, velocity, temperature, and mass are shown in blue, orange, green, and red, respectively. The solutions for t < 0 and t > 0 are shown with dashed and solid lines respectively.
Current usage metrics show cumulative count of Article Views (full-text article views including HTML views, PDF and ePub downloads, according to the available data) and Abstracts Views on Vision4Press platform.
Data correspond to usage on the plateform after 2015. The current usage metrics is available 48-96 hours after online publication and is updated daily on week days.
Initial download of the metrics may take a while.