Open Access

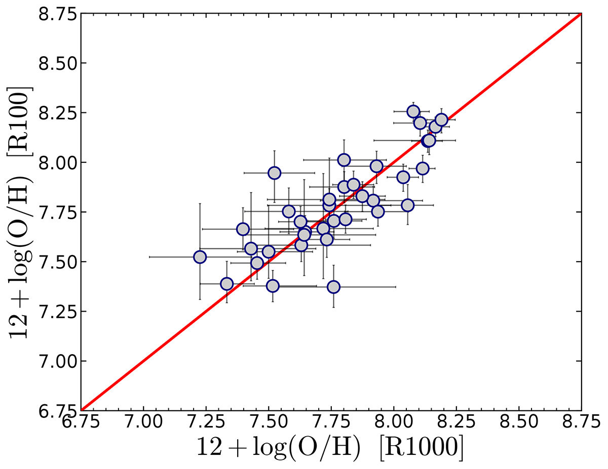
Fig. 2.

image

Download original image

Comparison between the metallicity derived from medium-resolution gratings and PRISM spectra. We plot only objects for which the requirements described in Sect. 3.1 are satisfied for both configurations. The two distributions scatter across the equality line (in red), with a median offset of 0.01 dex and a standard deviation of 0.15 dex. In 75% of the cases the two measurements are consistent within their 1σ uncertainties.

Current usage metrics show cumulative count of Article Views (full-text article views including HTML views, PDF and ePub downloads, according to the available data) and Abstracts Views on Vision4Press platform.

Data correspond to usage on the plateform after 2015. The current usage metrics is available 48-96 hours after online publication and is updated daily on week days.

Initial download of the metrics may take a while.