Open Access

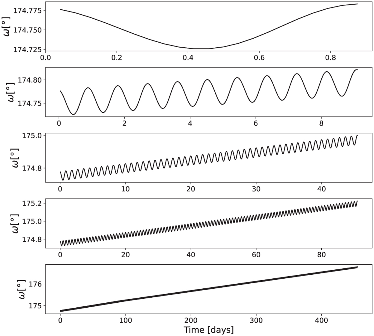
Fig. A.2

image

Download original image

Temporal change of the osculating orbital element ω(t) due to tidal and rotational potentials, as described by Eq. (A.8), assuming the orbital properties of the system WASP-19 (see Sect. 3.1) and the Love number of WASP-18Ab Csizmadia et al. (2019).

Current usage metrics show cumulative count of Article Views (full-text article views including HTML views, PDF and ePub downloads, according to the available data) and Abstracts Views on Vision4Press platform.

Data correspond to usage on the plateform after 2015. The current usage metrics is available 48-96 hours after online publication and is updated daily on week days.

Initial download of the metrics may take a while.