Open Access

Fig. 2

image

Download original image

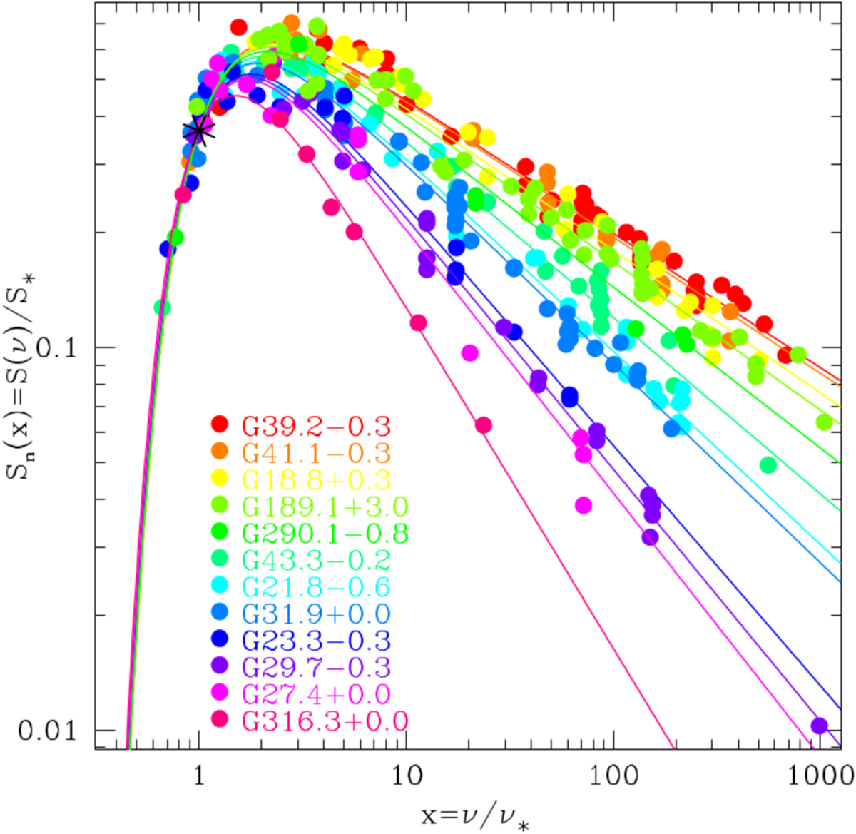
Normalised radio flux density Sn(x) = S(v)/S, = xαexp(−x−2.1) measurements (coloured filled circles) as a function of the normalised frequency x = v/v* for 12 SNRs spectra with turnover (see labels). This sample comprises 9 SNR spectra reported in Castelletti et al. (2021), with the addition of three new spectra for the SNRs G189.1+3.0, G290.1–0.8, and G316.3+0.0 included for this work. Solid lines show their corresponding fit with parameters presented in our Table A.1. This normalised form sorts SNRs spectra in increasing order accordingly to their slope from bottom α = −0.89 to top α = −0.35. The black asterisk symbol marks the characteristic frequency v* and highlight how the normalisation has been done.

Current usage metrics show cumulative count of Article Views (full-text article views including HTML views, PDF and ePub downloads, according to the available data) and Abstracts Views on Vision4Press platform.

Data correspond to usage on the plateform after 2015. The current usage metrics is available 48-96 hours after online publication and is updated daily on week days.

Initial download of the metrics may take a while.