Open Access

Fig. 5

image

Download original image

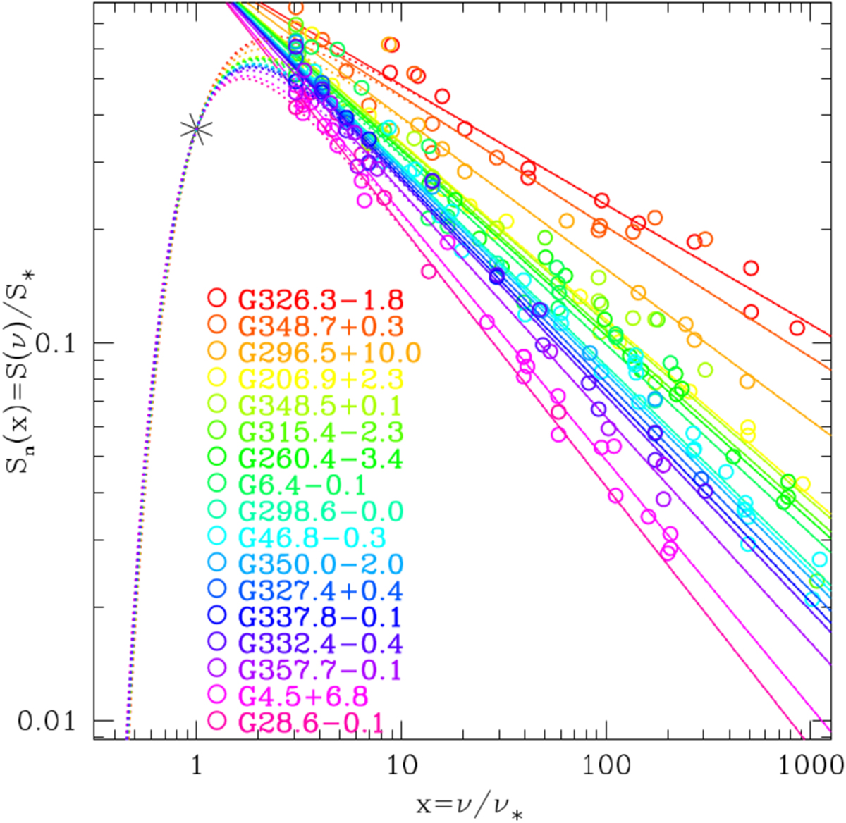
Normalised radio flux density Sn(x) = S(v)/S, = xαexp(−x−21) measurements (coloured open circles) as a function of the normalised frequency x = v/v* for 17 SNRs spectra without low frequency turnover (see labels). This sample includes the spectra of G4.5+6.8 and G28.6-0.1 SNRs published in Castelletti et al. (2021), plus 15 new collected for this work. Extended lines show their power-law fit while dotted ones correspond to Eq. (2) with characteristic frequency, v* (asterisk symbol) assigned as an upper limit according to the lowest measured frequency vlow. This normalised form sorts SNRs spectra in increasing order accordingly to their slope from bottom α = −0.69 to top α = −0.32. The black asterisk symbol marks the characteristic frequency, v*, and highlights how the normalisation is done.

Current usage metrics show cumulative count of Article Views (full-text article views including HTML views, PDF and ePub downloads, according to the available data) and Abstracts Views on Vision4Press platform.

Data correspond to usage on the plateform after 2015. The current usage metrics is available 48-96 hours after online publication and is updated daily on week days.

Initial download of the metrics may take a while.