Fig. 1.

Download original image
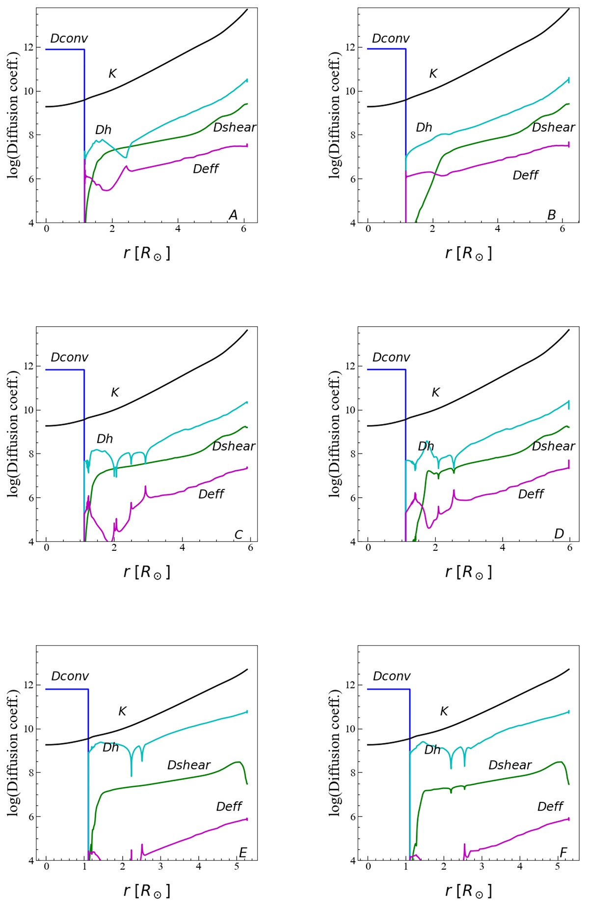
Internal profiles of K, the thermal diffusivity, Dconv, the convective diffusion coefficient, Dshear, the shear diffusion coefficient, Dh, the horizontal turbulence coefficient, and Deff, the effective diffusivity in 15 M⊙ models at solar metallicity. Each panel is labeled with a letter corresponding to the first column of Table 1. The profile is taken when the central mass fraction of hydrogen Xc = 0.35.
Current usage metrics show cumulative count of Article Views (full-text article views including HTML views, PDF and ePub downloads, according to the available data) and Abstracts Views on Vision4Press platform.
Data correspond to usage on the plateform after 2015. The current usage metrics is available 48-96 hours after online publication and is updated daily on week days.
Initial download of the metrics may take a while.