Fig. 2.

Download original image
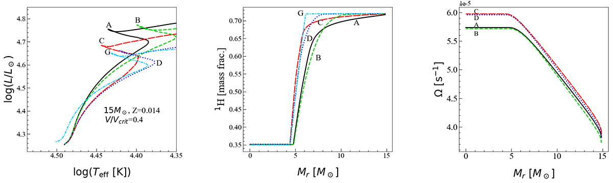
Evolution of various physical parameters of the 15 M⊙ models. Left panel: evolutionary tracks during the MS phase in the Hertzsprung-Russell diagram of the 15 M⊙ at Z = 0.014 and with Vini/Vcrit = 0.4. The letters A to G correspond to the models described in Table 1. Center panel: variation in the mass fraction of hydrogen as a function of the Lagrangian mass coordinate when the central mass fraction of hydrogen is 0.35 (Xc = 0.35). Right panel: evolution of the angular velocity vs. the internal mass coordinate at Xc = 0.35 through hydrogen burning.
Current usage metrics show cumulative count of Article Views (full-text article views including HTML views, PDF and ePub downloads, according to the available data) and Abstracts Views on Vision4Press platform.
Data correspond to usage on the plateform after 2015. The current usage metrics is available 48-96 hours after online publication and is updated daily on week days.
Initial download of the metrics may take a while.